时间:2017-09-25 08:43:18
1、简答题 在光滑水平面上,A、B两物体在同一直线上运动,并发生对心正碰,碰撞时刻为第2S末,碰撞前后两个物体的位移一时间图象如图所示.已知A物体的质量为2kg, 求碰撞过程中, A、B两物体组成的系统所损失的机械能.
参考答案:3J
本题解析:
本题难度:一般
2、计算题 一辆小车在光滑的水平面上以v2=1m/s的速度向右运动,小车的质量为M=100kg,如图所示。一质量为m=50kg的人从小车的右端迎面跳上小车,接触小车前瞬间人的水平速度大小为v1=5.6m/s。求人跳上小车后,人和小车共同运动速度的大小和方向。 
参考答案:解:取向右为正方向 

速度大小为1.2m/s,方向向左
本题解析:
本题难度:一般
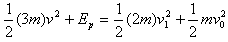
3、计算题 如图所示,在水平面上放置质量为M=800g的木块,一质量为m=50g的子弹以v0=170m/s的水平速度射入木块,并与木块一起运动。若木块与地面间的动摩擦因数
,求木块在地面上滑行的距离。(g取10m/s2)
参考答案:2.5m
本题解析:本题考查子弹大木块模型,内力远大于外力可认为动量守恒,
子弹打入木块的过程(时间极短)中,由动量守恒定律得
?(3分)
解得子弹与木块的共同速度:
m/s?(2分)
此后,木块在地面上匀减速滑动,加速度大小为:a=
m/s2?(2分)
木块在地面上滑行的距离为:
m?(3分)
本题难度:简单
4、计算题 甲、乙两个溜冰者相对而立,质量分别为m甲=60kg,m乙=70kg,甲手中另持有m=10kg的球,如果甲以相对地面的水平速度v0=4m/s把球抛给乙,求:
(1)甲抛出球后的速度多大?
(2)乙接球后的速度多大?
参考答案:解:(1)甲抛球过程由动量守恒可得:
解得:
(2)乙接球过程动量守恒可得:
解得:
本题解析:
本题难度:一般
5、选择题 质量相等的三个小球
、
、
在光滑的水平面上以相同的速度运动,它们分别与原来静止的三个小球A、B、C相碰,相碰后,
球继续沿原来的方向运动,
球静止,
球被反弹回来,这时A、B、C三个被碰小球中动量最大的是 ( )
A. A球 B. B球 C. C球 D. 无法确定
参考答案:C
本题解析:若两个小球相碰等量守恒,由
,被碰三个小球获得的动量等于a、b、c小球动量的变化量,小球c动量变化量大,所以C球获得的动量大
本题难度:一般