时间:2017-09-25 08:15:11
1、实验题 如图abcd是一个正方形盒子.cd边的中点有一个小孔e.盒子中有沿ad方向的匀强电场.一个质量为m带电粒子从a处的小孔沿ab方向以初速度v0射入盒内,并恰好从e处的小孔射出.
求:(1)该带电粒子从e孔射出时的速度大小.
(2)该过程中电场力对该带电粒子做的功.
(3)若正方形的边长为
,求电场强度。(忽略粒子重力的作用,abcde位置考生自己标出)
参考答案:(1)
(2)
(3)
本题解析:(1)设粒子从e孔射出时竖直方向分速度为
,则有:水平方向:
①
竖直方向:
②
联立①②得到,
所以带电粒子从e孔射出的速度大小
.
(2)根据动能定理得,电场力对该带电粒子做的功
(3)根据牛顿第二定律得,加速度
,
,
联立得,
考点:考查了带电粒子在电场中的运动
本题难度:一般
2、计算题 (10分)如图所示,水平放置的两块平行金属板长L=5cm,两板间距d=1cm,两板间电压U=91V不变,上板带正电。距离极板右端s=10cm处有一接收屏,各种速度的电子沿水平方向从两板中央射入。电子的质量
=0.91×10-30kg,电荷量e=1.6×10-19C。求:
(1)到达接收屏上的电子的初速度应满足的条件;
(2)电子打到接收屏上距中心O的最大距离;
参考答案:(1)v≥2×107m/s方能打到屏上(2)
cm
本题解析:(1)电子恰好从板间射出的初速度为v0, 有
?①? L=v0t?②
得:a=
?③? v0=2×107m/s?④
故电子入射速度v≥2×107m/s方能打到屏上。⑤
(2)要想离O最远,需要竖直速度最大,即在电场中加速时间最长,即水平速度最小,且竖直位移最大的电子打到屏上的距离最大。即恰能从极板边缘射出的电子打到屏上距O点最远。
离开电场时偏转量为
?⑥
离开电场时的速度偏向角为
?
?⑦?
?⑧?
由几何关系
?⑨
得:
cm?(10)?
评分标准:每式1分
点评:难度中等,带电粒子在电场中的偏转常见于类平抛运动,根据水平和垂直两个分运动求解
本题难度:一般
3、选择题 如图10所示,质量相同的两个带电粒子P、Q以相同的速度沿垂直于电场方向射入两平行板间的匀强电场中,P从两极板正中央射入,Q从下极板边缘处射入,它们最后打在同一点(重力不计),则从开始射入到打到上板的过程中 ( )
A.它们运动的时间tQ>tP
B.它们运动的加速度aQ<aP
C.它们所带的电荷量之比qP∶qQ=1∶2
D.它们的动能增加量之比ΔEkP∶ΔEkQ=1∶2
参考答案:C
本题解析:设P、Q两粒子的初速度是
,加速度分别是
和
,粒子P到上极板的距离是0.5h,它们类平抛的水平距离为l。则对P,由
,得到
,同理对Q,
,得到
。同时可见
,而
,可见
。由动能定理,它们的动能增加量之比
。综上,选C
本题难度:一般
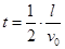
4、选择题 如图所示,C、D两水平带电平行金属板间的电压为U,A、B为一对竖直放置的带电平行金属板,B板上有一小孔,小孔在C、D两板间的中心线上。一质量为m、带电量为+q的粒子(不计重力)从D板边缘的O点以速度
斜向射入C、D板间,穿过B板的小孔运动到紧靠A板的P点时速度恰好为零,则A、B两板间的电压为(?)
A.
? B.
C.
? D.
参考答案:A
本题解析:粒子从O点到小孔得过程中电场力做负功,从B板到A板电场力也做负功,根据动能定理有
,解得
故选A
本题难度:一般
5、选择题 如图所示的阴极射线管,无偏转电场时,电子束加速后打到荧屏中央形成亮斑.如果只逐渐增大M1M2之间的电势差,则
A.在荧屏上的亮斑向上移动
B.在荧屏上的亮斑向下移动
C.偏转电场对电子做的功增大
D.偏转电场的电场强度减小
参考答案:AC
本题解析: 由图可知,电极板上极板带正电,故当电子束通过电极板时,将向上偏转,则在荧屏上的亮斑向上移动,A正确,B错误;偏转电压增大,电场对电子做的功增大,C正确,电场强度由E=U/d,可知,U增大,E增大,D错;所以本题选择AC。
本题难度:一般