高中物理知识点复习《弹力》高频试题巩固(2017年最新版)(九)

时间:2017-09-25 07:54:36

微信搜索关注"91考试网"公众号,领30元,获取事业编教师公务员等考试资料40G

1、选择题  在研究平抛运动时,我们做了两点猜想①平抛的水平分运动是匀速直线运动;②平抛的竖直分运动是自由落体运动.为此,我们通过对比实验进行了探究,如图题11的a、b两个实验所示,则关于两实验下列说法正确的是:

A.通过对比a、b两实验可以验证猜想①.
B.通过b实验可以验证猜想①.
C.通过a实验可以验证猜想①.
D.通过a实验既可以验证猜想①,也可以验证②


参考答案:B


本题解析:a图中小球B做自由落体运动,所以验证猜想②,b图下边的小球做水平匀速运动,所以验证猜想①


本题难度:一般



2、实验题  (6分)在“用单摆测重力加速度”的实验中:
(1)某同学的操作步骤为:
a.取一根细线,下端系住直径为d的金属小球,上端固定在铁架台上;
b.用米尺量得细线长度l
c.在摆线偏离竖直方向5?位置释放小球;
d.用秒表记录小球完成n次全振动的总时间t,得到周期T=t/n
e.用公式g=计算重力加速度。
按上述方法得出的重力加速度与实际值相比?(选填“偏大”、“相同”或“偏小”)。
(2)已知单摆在任意摆角θ时的周期公式可近似为,式中T0为摆角θ趋近于0?时的周期,a为常数,为了用图像法验证该关系,需要测量的物理量有?;若某同学在实验中得到了如图所示的图线,则图像中的横轴表示?


参考答案:(1)偏小(2分)
(2)T′(或tn),θ(共2分,各1分)?T′(2分)


本题解析:略


本题难度:一般



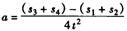
3、实验题  在“验证牛顿第二定律”的实验中,打出的纸带如图3-44(a)所示,相邻计数点间的时间间隔是t.

(1)测出纸带各相邻计数点之间的距离分别为s1、s2、s3、s4如图(a)所示,为使由实验数据计算的结果更精确一些,计算加速度平均值的公式应为a=________.
(2)在该实验中,为验证小车质量M不变时,a与M成正比,小车质量M、砂及砂桶的质量m分别选取下列四组值.
A.M=500g,m分别为50g、70g、100g、 125g
B.M=500g,m分别为20g、30g、40g、50g
C.M=200g,m分别为50g、70g、:100g、125g
D.M=200g,m分别为30g、40g、50g、60g
若其他操作都正确,那么在选用______组值测量时所画出的a一F图象较准确.?
(3)有位同学通过测量,作出a-F图象,如图3-44(b)所示.试分析:
①图象不通过原点的原因是_________________________.
②图象上部弯曲的原因是_________________________.


参考答案:(1)
(2)B
(3)①没有平衡摩擦力或平衡摩擦力不够
②为满足砂与砂桶的质量m远小于小车的质量M


本题解析:略


本题难度:简单



4、实验题  某同学在做探究弹力与弹簧伸长的关系实验时,将一轻弹簧竖直悬挂让其自然下垂,测出其自然长度;然后在其下部施加外力F,测出弹簧的总长度L,改变外力F的大小,测出几组数据,作出外力F与弹簧总长度L的关系图线如图所示。由图可知该弹簧的自然长度为__________cm;该弹簧的劲度系数为__________N/m。



参考答案:10,50


本题解析:


本题难度:一般



5、实验题  为了探究弹性势能与弹簧形变量之间的关系,需要测定弹簧的弹性势能。一位同学采用了如图所示的一种装置:水平放置的弹簧一端固定在墙上,另一端靠着已知质量为m的木块,此时弹簧为原长,木块的左侧是光滑的,右侧是粗糙的,水平面足够大。现利用一块秒表和一把刻度尺,测量出弹簧被压缩的弹性势能。测量步骤如下:

(1)用手水平向左推动木块,使弹簧缩短一定长度x;
(2)放手让弹簧推动木块,用秒表测出木块自弹簧原长位置运动到最终静止位置的时间t;
(3)用刻度尺测出木块?的距离S;
(4)利用测量结果,导出弹性势能的表达式EP =?(用S、t、m表示)。


参考答案:在粗糙水平面上滑动?、


本题解析:本实验的实验原理是能量守恒定律,弹性势能完全用于克服摩擦力做功,因此有
点评:难度较小,本实验从能量守恒定律或动能定理方面思考


本题难度:简单




首页 上页 8 9 10 下页 尾页 9/10/10
微信搜索关注"91考试网"公众号,领30元,获取公务员事业编教师考试资料40G
【省市县地区导航】【考试题库导航】
 ★ 高考省级导航 ★ 
全国 A安徽 B北京 C重庆 F福建 G广东 广西 甘肃 贵州 H河南 河北 湖南 湖北 黑龙江 海南 J江苏 江西 吉林 L辽宁 N内蒙古 宁夏 Q青海 S山东 山西 陕西 四川 上海 T天津 X新疆 西藏 Y云南 Z浙江
 ★ 高考信息汇总 ★ 
 ★ 高考历年真题 ★ 
 ★ 高考历年真题 ★ 
 ★ 高考题库 ★ 
 ★ 高考题库 ★ 

电脑版  |  手机版  |  返回顶部