时间:2017-09-23 23:06:50
1、选择题  一列沿x轴传播的简谐横波,t=0时刻的波形如图所示,此时质元P恰在波峰,质元Q恰在平衡位置且向上振动.再过0.2s,质元Q第一次到达波峰,则( ? )
A.波沿x轴负方向传播
B.波的传播速度为30m/s
C.1s末质元P的位移为零
D.质元P的振动位移随时间变化的关系式为x=0.2sin(2πt+ )m
)m
2、选择题  一列沿x轴正方向传播的简谐横波,当波传到x=O处时开始计时,t=7.0s时刻波形如图所示,此时波刚好传到x=3.5m处,则下列说法中正确的有(  )
A.该波的振动周期可能为5.6s
B.t=0时刻x=0处质点沿y轴正方向运动
C.该波的传播速度为0.5m/s
D.从t=0到t=7.0s这段时间内x=1m处质点通过的路程为80cm
3、计算题  一列横波如图15所示,波长λ=8 m,实线表示t1=0时刻的波形图,虚线表示t2=0.005 s时刻的波形图.则:?
(1)波速可能多大?
(2)若波沿x轴负方向传播且2T>t2-t1>T,波速又为多大?
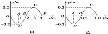
4、简答题  如图所示,甲为某一波在t=1.0s时的图象,乙为参与该波动的P质点的振动图象.
(1)试确定波的传播方向;
(2)求该波的波速v;
(3)在甲图中画出3.5s时的波形图;
(4)求再经过3.5s时P质点的路程s和位移.
5、选择题  一列简谐横波沿x轴正向传播,传到M点时波形如图所示,再经0.6 s,N点开始振动,则该波的振幅A和频率f为 
[? ]
A.A=1m,f=5Hz 
B.A=0.5m,f=5Hz 
C.A=1m,f=2.5Hz 
D.A=0.5m,f=2.5Hz