时间:2017-08-25 13:05:03
1、计算题 电子扩束装置由电子加速器、偏转电场和偏转磁场组成。偏转电场由加了电压的相距为d的两块水平平行放置的导体板形成,如图甲所示。大量电子(其重力不计)由静止开始,经加速电场加速后,连续不断地沿平行板的方向从两板正中间射入偏转电场。当两板不带电时,这些电子通过两板之间的时间为2t0,当在两板间加如图乙所示的周期为2t0、幅值恒为U0的电压时,所有电子均能从两板间通过,然后进入水平宽度为l,竖直宽度足够大的匀强磁场中,最后通过匀强磁场打在竖直放置的荧光屏上(已知电子的质量为m、电荷量为e)。问:
(1)判断哪些时刻电子进入两平行板间侧向位移最大?写出最大值表达式;
(2)电子从两平行板间射出时最大侧向位移与最小侧向位移之差是多少?
(3)要使侧向位移最大的电子能垂直打在荧光屏上,匀强磁场的磁感应强度为多少? 
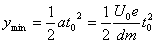
参考答案:解:(1)由题意可判断,从0、2t0、4t0……等时刻进入偏转电场的电子侧向位移最大,在这种情况下,电子的侧向位移为
(2)而从t0、3t0……等时刻进入偏转电场的电子侧向位移最小,在这种情况下,电子的侧向位移为 
所以最大侧向位移与最小侧向位移之差为 
-
=
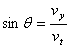
(3)设电子从偏转电场中射出时的偏向角为
,由于电子要垂直打在荧光屏上,所以电子在磁场中运动半径应为:
设电子从偏转电场中出来时的速度为vt,垂直偏转极板的速度为vy,则电子从偏转电场中出来时的偏向角为:
式中
又
由上述四式可得:
本题解析:
本题难度:困难
2、选择题 如图所示,带正电q、质量为m的滑块,沿固定绝缘斜面匀速下滑,现加一竖直向上的匀强电场,电场强度为E,且qE<mg.以下判断正确的是( )
A.物体将沿斜面减速下滑
B.物体将沿斜面加速下滑
C.物体仍保持匀速下滑
D.仅当qE=mg时,物体加速下滑
参考答案:A、质量为m的滑块,沿固定绝缘斜面匀速下滑,设斜面倾角为θ,摩擦因数为μ,故mgsinθ=μmgcosθ,当加一竖直向上的匀强电场,电场强度为E,且qE<mg,此时物体合力应为F=(mg-Eq)sinθ-μ(mg-Eq)cosθ,故F=0,物体仍保持匀速下滑,故A错误
B、由A分析得,B错误
C、由A分析得,C正确
D、由A分析得,D错误
故选:C
本题解析:
本题难度:一般
3、选择题 如图所示,匀强电场E竖直向下,匀强磁场B垂直纸面向里.现有三个带有等量同种电荷的油滴a、b、c,若将它们分别置入该区域中,油滴a保持静止,油滴b向左水平匀速运动,油滴c向右水平匀速运动,则三个油滴所受重力
、
、
的大小关系正确的是
A.
>
>
B.
>
>
C.
>
=
D.
>
=
参考答案:B
本题解析:滴a做匀速圆周运动,可判断其受到的电场力和重力大小相等,方向相反,电场力方向竖直向上,所以带负电;力的关系为:
;油滴b向左水平匀速运动,对其受力分析,受竖直向下的重力、竖直向上的电场力和竖直向上的洛伦兹力(由左手定则来判断),三力平衡,即
;油滴c向右水平匀速运动,对其受力分析,受竖直向下的重力、竖直向上的电场力和竖直向下的洛伦兹力(由左手定则来判断),三力平衡,即
;由以上分析可得三个油滴的重力关系为:
。
故选B
考点:带电粒子在复合场中的运动
点评:若带电质点在三场共存区域内运动,一般会同时受到重力、电场力、洛仑兹力作用,若电场和磁场又为匀强场,则重力、电场力为恒力,洛仑兹力与速度有关,若带电质点匀速,则洛仑兹力也为恒力,可用共点力平衡来进行分析。
本题难度:一般
4、计算题 如图所示,在某空间建立一坐标xoy,其间充满着x正方向的匀强电场,场强E =2.0V/m和垂直xoy平面向外的匀强磁场,磁感强度B=2.5T。今有一带负电微粒质量
?kg,电量q=-5×10-7? C。在该空间恰能做匀速直线运动。求:
(1)试分析该题中重力可否忽略不计(需通过计算说明)。
(2)该微粒运动的速度。
(3)若该微粒飞经y轴的某点M时,突然将磁场撤去而只保留电场,则微粒将再次经过y轴的N点,则微粒从M到N运动的时间为多长,M、N两点间的距离为多大?(图中M、N在坐标上未标出)
参考答案:(1)重力不能忽略不计;(2)1.6m/s; 与y轴负方向成60?角;(3)s=1.536m
本题解析:
试题分析: (1) 根据已知条件可计算出电场力:F=qE=5×10-7×2.0N=1.0×10-6N
重力:
重力与电场力在同一个数量级——所以重力不能忽略不计。
(2)该微粒运动的速度。由于微粒恰好作直线运动,所以合力为0。微粒受重力、电场力和洛仑兹力如图示: 

?由图可得速度方向与y轴负方向成θ角,满足
, 所以:θ=60?
(3)用运动的合成与分解的方法将速度v沿重力方向和沿电场力反方向分解的来求M、N两点间的距离。其解答过程如下:
?
由上述两式联立可得运动时间t=0.48s,M、N两点间的距离s=1.536m。
该题也可以选择用类似于斜面上的平抛运动来求M、N两点间的距离。将s分解为沿v方向的s cosθ和垂直v方向的s sinθ,则: scosθ= vt?
由上述两式联立可得运动时间t=0.48s,M、N两点间的距离s=1.536m。
本题难度:一般
5、选择题 如图,平行板电容器之间有互相垂直的匀强电场和匀强磁场,现有一束带电粒子(不计重力)以速度
沿图示方向恰能直线穿过,则
A.此电容器左极,板带正电
B.带电粒子以小于
的速度沿
方向射入该区域时,将不能沿直线穿过
C.带电粒子以小于
的速度沿
方向射入该区域时,其动能减小
D.带电的粒子若从下向上以速度
进入该区域时,其动能减小
参考答案:B
本题解析:根据左手定则,沿直线通过,Eq=Bqv,粒子受的电场力和洛仑兹力等大反向,与电性无关,与极板的电性也无关。A错
带电粒子以小于
方向射入该区域时,电场力大于洛仑兹力,会做曲线运动,电场力做正功,洛仑兹力不做功,动能增加,B对,C错;
带电的粒子若从下向上以速度
进入该区域时,所有电场力大小方向不变,洛仑兹力变为与电场力同向,粒子将做曲线运动,电场力做正功,动能增加。D错。
本题难度:简单