时间:2017-08-25 12:59:45
1、实验题 如图甲所示为测量电动机转动角速度的实验装置,半径不大的圆形卡纸固定在电动机转轴上,在电动机的带动下匀速转动,在圆形卡纸的旁边安装一个改装了的电火花计时器。下面是该实验的实验步骤:
Ⅰ.使电火花计时器与圆形卡纸保持良好接触;
Ⅱ.启动电动机,使圆形卡纸转动起来;
Ⅲ.接通电火花计时器的电源,使它工作起来;
Ⅳ.关闭电动机,拆除电火花计时器。
研究卡纸上留下的一段痕迹(如图乙所示),写出角速度ω的表达式,代入数据,得出ω的测量值。 
(1)要得到角速度ω的测量值,还缺少一种必要的测量工具,它是_____________;
A.秒表
B.游标卡尺
C.圆规
D.量角器
(2)写出ω的表达式:_____________,并指出表达式中各个物理量的含义:__________________________________;
(3)为了避免在卡纸连续转动的过程中出现打点重叠,在电火花计时器与盘面保持良好接触的同时,可以缓慢地将电火花计时器沿圆形卡纸半径方向向卡纸中心移动。则卡纸上打下的点的分布曲线不是一个圆,而是类似一种螺旋线,如图丙所示。这对测量结果有影响吗?_____________。(选填“有影响”或“没有影响”)理由是:_______________________________________。
参考答案:(1)D
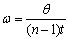
(2)
;θ是n个点对应的圆心角,t是电火花计时器的打点时间间隔
(3)没有影响;电火花计时器向卡纸中心移动时不影响角度的测量
本题解析:
本题难度:一般
2、填空题 如图,质量为m的小球用细绳悬于O点且在竖直平面内做圆周运动,到达最高点时速度为v,则此时绳子的张力为?。(绳长为L)
参考答案:mv2/L-mg
本题解析:在最高点,受力分析可知,小球受重力、绳子拉力,即
,带入求解则
点评:本题考查了圆周运动相关的向心力方程的列式求解过程。通过受力分析便能找到向心力来源。
本题难度:一般
3、选择题 一般的转动机械上都标有“转速×××r/min”,该数值 是转动机械正常工作时的转速,不同的转动机械上标有的转速一般是不同的.下列有关转速的说法正确的是
[? ]
A.转速越大,说明该转动机械正常工作时转动的频率越小
B.转速越大,说明该机械正常工作时转动的线速度一定越大
C.转速越大,说明该机械正常工作时转动的角速度一定越大
D.转速越大,说明该机械正常工作时转动的周期一定越大
参考答案:C
本题解析:
本题难度:一般
4、选择题 物体m用线通过光滑的水平板间小孔与砝码M相连,并且正在做匀速圆周运动,如图2所示,如果保持M的重量不变,则物体m的轨道半径r,角速度ω,线速度v的大小说法正确的是 
A.若r变小,则 v变小
B.若r变小,则ω变小
C.若r变大,则 v变小
D.若r变大,则T变小
参考答案:A
本题解析:M的重力提供向心力,
,由此可知A对;
本题难度:简单
5、选择题 不定项选择
如图所示,为A、B两质点做匀速圆周运动的向心加速度随半径变化的图象,其中A为双曲线的一个分支。由图可知( ? )

参考答案:AC
本题解析:
本题难度:简单