2016湖南汝城县城市管理行政执法局招聘城管协管员笔试成绩公告

时间:2017-01-10 09:23:41

微信搜索关注"91考试网"公众号,领30元,获取事业编教师公务员等考试资料40G

原标题:汝城县城市管理行政执法局2016年公开招聘城管协管员笔试成绩公布

点击下载>>>

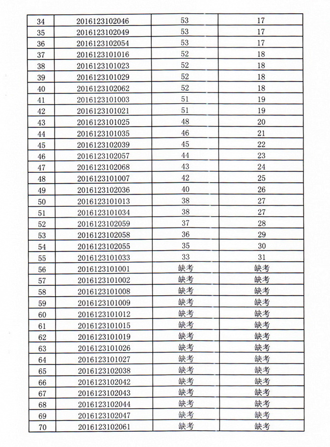
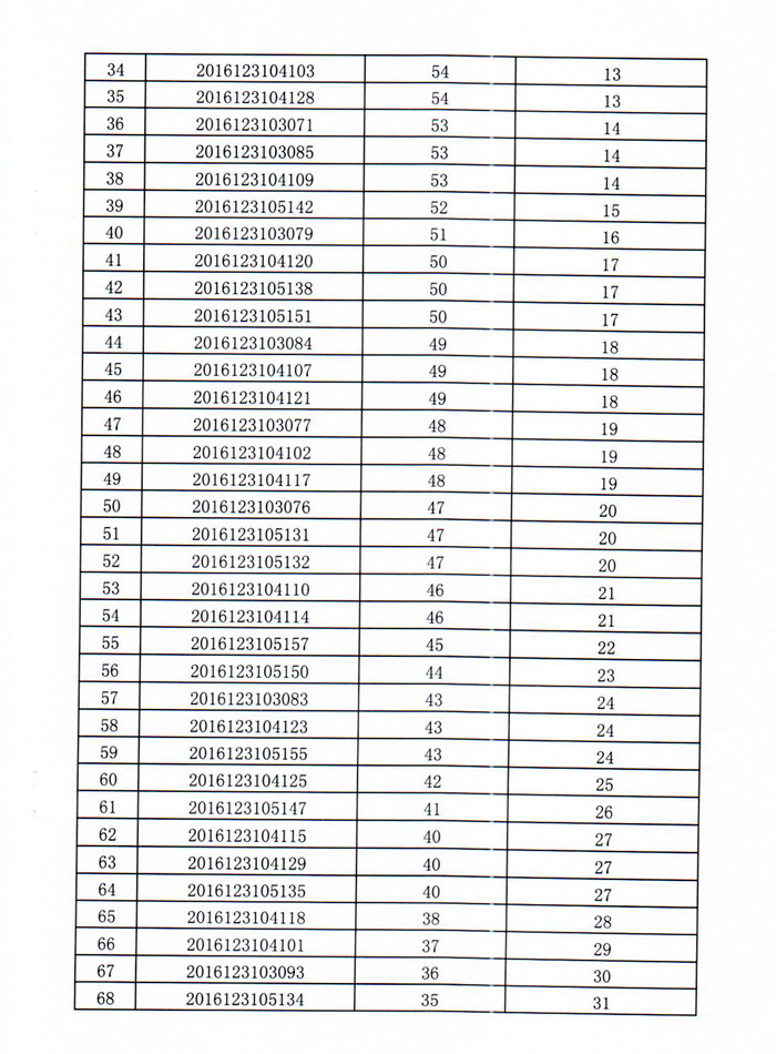
2016湖南汝城县城市管理行政执法局招聘城管协管员笔试成绩

600)makesmallpic(this,600,1800);\' style=\"width: 415.5pt; height: 563.25pt;\" border=\"0\" src=\"/ewebeditor/uploadfile/2017/01/13/20170113213712695001.jpg\">

600)makesmallpic(this,600,1800);\' style=\"width: 415.5pt; height: 562.5pt;\" border=\"0\" src=\"/ewebeditor/uploadfile/2017/01/13/20170113213712477002.jpg\">

600)makesmallpic(this,600,1800);\' style=\"width: 415.5pt; height: 564pt;\" border=\"0\" src=\"/ewebeditor/uploadfile/2017/01/13/20170113213712889003.jpg\">

600)makesmallpic(this,600,1800);\' style=\"width: 415.5pt; height: 563.25pt;\" border=\"0\" src=\"/ewebeditor/uploadfile/2017/01/13/20170113213713381004.jpg\">

600)makesmallpic(this,600,1800);\' style=\"width: 415.5pt; height: 564pt;\" border=\"0\" src=\"/ewebeditor/uploadfile/2017/01/13/20170113213713960005.jpg\">

 


The more we do, the more we can do; the more busy we are ,the more leisure we have. 事越做越能做,人越忙越有空.
There is no mistake so great as that of being always right. 最大的错误莫过于总是自信正确。

微信搜索关注"91考试网"公众号,领30元,获取公务员事业编教师考试资料40G
【省市县地区导航】【考试题库导航】
 ★ 招警考试省级导航 ★ 
全国 A安徽 B北京 C重庆 F福建 G广东 广西 甘肃 贵州 H河南 河北 湖南 湖北 黑龙江 海南 J江苏 江西 吉林 L辽宁 N内蒙古 宁夏 Q青海 S山东 山西 陕西 四川 上海 T天津X新疆 西藏 Y云南 Z浙江
 ★ 招警考试信息汇总 ★ 
 ★ 招警考试真题汇总 ★