时间:2016-12-02 09:32:45
44.【解析】A。逻辑填空题,根据最后一句话“随着公众的变化而”,要填入一个表达“变化”意思的选项,随机应变指随着情况的变化灵活应对,符合。急不择途指情势危急心里发慌,顾不上选择道路;顾此失彼指慌张或者忙乱的样子;八面玲珑指人处事圆滑,待人接物面面俱到。
45.【解析】A。意图判断题,先提到大气污染及特征“复合型污染”,又通过PM2.5其中一种症状举例说明,要综合治理不能拿仅仅治理一种病状的治理思路,结合这两点,答案为A。
46.【解析】D。逻辑填空题,第一个空结合前文,传统不阻挡潮流,而是起到有利方面的作用,根据感情色彩,排除AB项,第二个空更新不会造成自己的消亡,程度过重,因此排除C项,答案为D项。
47.【解析】D。逻辑填空题,空格照应前文“有时会因科技欠发达而付出惨痛代价,但若就此止步不前”,即因为一点问题就不做的意思,D项因噎废食指要做的事情由于出了点小毛病或者怕出问题就索性不干,符合意思。A项讳疾忌医指怕人批评而掩饰自己的缺点或错误;B项舍本逐末指不抓根本环节,只在枝节问题上下功夫;C一叶障目指被局部或暂时的现象所迷惑。
48.【解析】C。逻辑填空题,第一个空照应后一种情况“市场不能解决”,因此要填入市场能解决意思的词语,排除AD项,B项消融指冰雪等损耗,或者物体消失融化,放在此处与市场危机搭配不当,第二空“受外界条件的”用约束一词恰当,因此答案C项。
49.【解析】C。意图判断题,文段由“还要”引出“运作者(法律人)”这一话题,谈及运作者(法律人)在法律中的重要性,最后由“因此”得出结论,要让公众理解法律的精神,就必须要有运作者(法律人)的参与,根据对策落脚点,选择C项。
50.【解析】A。逻辑填空题,权力制衡,常用搭配,指在公共政治权力内部或者外部,存在着与权利主体相抗衡的力量。制衡指双方或者多方之间的相互制约与平衡;对抗指对立起来相持不下;约束指限制、管束;规范可做名词和动词,动词指使合乎模式。
51.【解析】A。

52.【解析】C。要使连接距离最近的两根旗杆绳子的长度最长,就应该使旗杆离得最近的两根离得尽可能远,可以如此构造,即中间圆心一根,另外6根均匀分布于圆周,所以最短的最长为半径5。
53.【解析】A。因为每次的男女比例都是1:x,所以最终的男女比例也是1:x,因为最终男生6000人,女生12000人,所以男女比例为1:2,之前的比例也为1:2,所以5月份在校生中的男生人数为5000人。
54.【解析】B。排列组合问题,因为孩子都挨着自己的母亲就坐,所以五对母子一共有25种即32种排列方式,而所有孩子均不相邻一共有两种可能,所以概率为2/32=6.25%,故答案选择B选项。
55.【解析】B。

56.【解析】D。因为回答问题最多的人得分最少,所以回答问题最多的人至少也要答5道题,因为要得分最少且是正数,所以应尽可能错的多,但还是正数,所以可以错2道、对3道,得分14分,则第二名可以对2道,得分20分,第一名5道题全对,得分50分,则此时第一名都比第二名多了30分,所以答案排除ABC,一定为D。D选项也可以进行构造,即第一名答5题对5题,得分50分,第二名第一题对1题,得分10分,第三名答6题对3题错3题,得分6分。所以最多可以差40分。
57.【解析】B。本题直接代入排除结合常识即可,因为属相和生日相同,所以父母年龄相同可能性较大,并且年龄都是差12岁的整数倍。代入A,可得儿子10岁,和父母年龄差是20岁,不是12的整数倍,代入B,儿子是12岁,和父母年龄差正好是24岁,所以妈妈可能是36岁。
58.【解析】A。本题可以直接利用整除特性来做,设工人数为x人,则总的球票数为3x+2,即总数减2为3的倍数,而满足这个条件的只有A选项。当然也可以利用方程法来做,不做赘述。
59.【解析】C。本题考查的实际上是5个人的错位重排,1、2、3、4、5个人的错位重排的方式分别是0、1、2、9、44种,故答案为44。
60.【解析】D。

61.【解析】B。本题考查的是等距离平均速度,在来回的过程中看,总的上坡和总的下坡都是整体的3/4,所以距离相等,利用等距离平均速度公式得
,和在平路上的速度相等,所以整体的平均速度也是20千米/小时。
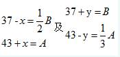
62.【解析】C。假设B厅往A厅调动的人数为x人,而A厅往B厅调动的人数为y人,A厅总人数为A人,B厅总人数为B人,则可得:
,
可以消元A、B,可得y=27人,所以B=37+27=64人。当然本题也可以利用代入排除法来做。
63.【解析】A。直接列式计算即可,假设电价为1元1度,即
。
64.【解析】B。中国队与丹麦、日本、德国各比赛一场,德国队比赛两场,则一场是和中国比赛,因为日本只比赛了一场,所以德国队另外一场比赛是和丹麦队比赛的,即丹麦队已经比赛了两场,一场是和中国,一场是和德国,所以还剩一场比赛未比。
65.【解析】C。直接列方程即可,假设第二题的分值为x,则第一题的分值为x-4,第三题的分值为x+4,所以三者相加3x=60,解得x=20,所以第三题的分值为24分。
66.【解析】B。此题考查种属关系。版权是权利的一种,上将是军衔的一种。因此选B。
67.【解析】B。此题考查对应关系。歼击机用于空战,手机用于通信。因此选B。
68.【解析】D。此题考查因果关系。在月球引力和太阳引力的共同作用下产生潮汐,在暴雨和乱砍乱伐的共同作用下产生泥石流。因此选D。
69.【解析】A。此题考查对应、种属关系。实验员用试管,试管是实验员的工具,对应关系;试管是器具的一种,种属关系。因此选A。
70.【解析】B。此题考查并列、种属关系。律师、厨师是并列关系,律师和厨师都是职业的一种,种属关系。因此选B。
71.【解析】C。此题考查语法关系。运动消耗热量达到瘦身的目的,打磨去除瑕疵达到平滑的效果。因此选C。
72.【解析】B。此题考查语法、语义关系。潮涨、潮落,都是主谓关系且两个词是反义关系,草荣、草枯都是主谓关系且两个词也是反义关系。
73.【解析】A。此题考查对应关系。密码器的功能是保密,打卡器的功能是考勤。因此选A。
74.【解析】D。此题考查对应关系。耳朵可以识别特定范围赫兹的声音,眼睛可以识别特定范围波长的光。因此选D
75.【解析】D。此题考查对应关系。颁奖和领奖体现了时间先后顺序且主客体不同。因此选D。
76.【解析】D。此题考查空间重构类。选项A中,T面与其中一个箭头是相对关系,故排除;选项B中,V开口应指向三角形的直角边,不可能指向U的开口;选项C中,T的下端应指向三角形的斜边,而不指向直角边。因此选D。
77.【解析】C。此题考查数量类。第一横行面的个数分别为1、1、2,即满足1+1=2的规律;第二横行面的个数分别为1、1、2,也满足1+1=2的规律;第三横行面的个数为2、?、4,即2+?=4,因此选C。
78.【解析】C。此题考查数量类。所给图形都可以一笔画,因此选C。
79.【解析】C。此题考查样式类。第一段前两个图形求异得到第三个图形,第二段同样由前两个图形求异,因此选C。
80.【解析】B。(更多