时间:2016-12-01 09:55:19
下列最可能有效解决商品销售量下滑问题的措施是:
A.利用多种媒体加强广告宣传 B.为该商品增加更多的使用功能
C.根据实际情况,商品价格实行季节浮动价 D.给购买该商品的顾客附赠一个小礼品
95、甲、乙、丙均为教师,其中一位是大学教师,一位是中学教师,一位是小学教师,并且大学教师比甲的学历高,乙的学历与小学教师不同,小学教师的学历比丙低。
由此可以推出:
A.甲是小学教师,乙是中学教师,丙是大学教师 B.甲是中学教师,乙是小学教师,丙是大学教师
C.甲是大学教师,乙是小学教师,丙是中学教师 D.甲是大学教师,乙是中学教师,丙是小学教师
第四部分 数量关系
(共10题,参考时限15分钟)
一、数字推理,请按每道题的答题要求作答。每题1分,共5分。
请开始答题:
96、请选择你认为最为合理的一项,来填充所给数列的空缺项,使之符合原数列的排列规律:1,8,28,80,( )
A. 128 B. 148 C. 180 D. 208
97、请选择你认为最为合理的一项,来填充所给数列的空缺项,使之符合原数列的排列规律:0,1/3 ,6/11 ,7/10 ,( ), 31/35
A. 29/30 B. 29/33 C. 31/36 D. 30/37
98、请选择你认为最为合理的一项,来填充所给数列的空缺项,使之符合原数列的排列规律:-1,1,( )4/7 ,16/23 , 16/17
A. 2/7 B. 4/7 C. 4/9 D. 4/11
99、假设67代表C,7179代表GO,6778代表CN,那么687389代表:
A. FIY B. BOY C. DIYD.DOG
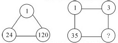
100、观察左图相邻数字的规律,要使右图相邻数字也符合这个规律,应选择:

A. 46 B. 78 C. 65 D. 134
二、数学运算。在这部分试题中,每道试题呈现一段表述数字关系的文字,要求你迅速、准备地计算出答案。每题1分,共5分。
请开始答题:
101、田忌与齐威王赛马并最终获胜被传为佳话,假设齐威王以上等马、中等马和下等马的固定程序排阵,那么田忌随机将自己的三匹马排阵时,能够获得两场胜利的概率是:
A. 2/3 B. 1/3 C. 1/6 D. 1/9
102、为估算湖中鲤鱼的数量,某人撒网捕到鲤鱼300条,并对这300条鱼作了标记后又放回湖中,过了一段时,他又撒网一次捕到鲤鱼200条,发现其中鲤鱼有5条有标记,由此他估算湖中鲤鱼的数量约为:
A. 1200条 B. 12000条 C. 30000条 D. 300000条
103、数列(1/4 +9),(1/2 +9/2 ),( 3/4 +3),(1+ 9/4),(5/4 + 9/5),……中,数值最小的项是:
A. 第4项 B. 第6项 C. 第9项 D. 不存在
104、某村有甲乙两个生产小组,总共50人,其中青年人共13人。甲组中青年人与老年人的比例是2:3,乙组中青年人与老年人的比例是1:5,甲组中青年人的人数是:
A. 5人 B. 6人 C. 8人 D. 12人
105、一只蚂蚁从右图的正方体的A顶点沿正方体的表面爬到正方体的C顶点,设正方体边长为a,问该蚂蚁爬过的最短路程为: [公共基础知识真题]

A.
B.
C.
D. ![]()
第五部分 资料分析
(共15题,参考时限15分钟)
所给出的图、表、文字或综合性资料均有若干个问题要你回答,你应资料提供的信息进行分析、比较、计算和判断出来。每题0.8分,供12分。
一、根据以下资料,回答106-110题。
2009年前三个季度,我国规模以上电子信息制造业扭转了上半年下滑的势头,但比去年同期增速下降10个百分点以上,重点产品增长面逐步扩大。9月,重点监测的27个产品中,14个产品产量出现正增长,比上半年多了3个产品,其中计算机、显示器、彩电、数码相机绩效保持增长,手机,集成电路扭转上个月下降的势头,分别增长2.4%、4.7%。1~8月,规模以上电子信息制造业实习主营业务收入29618亿元,同比下降4.8%,实现利润892亿元,同比下降21.5%,二者降幅分别比1~5月缩小了3.7,19.5个百分点,电子信息11个行业中实现利润增长的行业扩大为4个,其中通信设备、视听产品行业分别增长28.1%、6.4%,计算机、电子元件行业分别下降35.5%、29.4%,电子器件行业扭亏为益,实现利润35亿元。2009年1~9月,我国规模以上电子信息制造业出口交货值20329亿元,同比下降10.6%。1~9月全行业行业实现出口交货值占销售产值的比得为57.6%,比去年同期回落5.7个百分点,1~9月,电子信息产业500万元以上项目完成固定资产投资2808亿元,同比增长17.2%,增速低于去年同期12.1个百分点,低于同期全国制造业增速11.5个百分点。
106、2008年1~9月,规模以上电子信息制造业出口交货值约为:
A. 20329亿元 B. 22061亿元 C. 22739亿元 D. 31223亿元
107、2009年1-8月,规模以上电子信息制造业主营业务收入利润率约为:
A.2% B. 3% C. 4% D. 5%
108、2009年1~9月,电子信息产业500万元以上项目完成固定资产投资额约为:
A. 2396亿元 B. 2502亿元 C. 2618亿元 D. 2808亿元
109、2009年1~9月,电子信息制造业全行业实现出口交货值占销售产值的比重约为:
A.51.9% B. 57.5% C. 63.3% D. 72.8%
110、根据以上资料,无法推出的是:
A.2009年上半年,在规模以上电子信息制造业重点监测的27个产品中有11个产品量出现正增长
B. 2009年1~9月,电子信息产业500万元以上项目的固定资产投资同比增长超过10%,但增速低于去年同期
C. 2009年1~8月,电子器件行业的利润超过30亿元
D. 2009年前三季度,在规模以上电子信息制造业重点监测的产品中仅计算机、显示器和彩电保持增长
二、根据以下资料,回答111-115题。

111、2003年~2007年,乙国的年碳排放量最大值与最小值之间的差距为:
A.7亿吨 B. 8亿吨 C. 9亿吨 D. 10亿吨
112、2007年两国碳排放量之和比2006年两国碳排放量之和约增加了:
A. 1% B. 2% C. 5% D. 7%
113、2003年~2007年,甲国平均每年必乙国少排放的碳总量为:
A. 30亿吨 B. 48亿吨 C. 55亿吨 D. 60亿吨
114、2004~2007年,甲国的年碳排放量与上年相比增长幅度最大的年份是:
A. 2004年 B. 2005年 C. 2006年 D. 2007年
115、根据以上资料,能够推出的是:
A. 碳排放量总是呈逐年上升趋势的国家是发展中国家,反之,发达国家的碳排放量总是呈逐年下降
B. 2003~2006年,乙国的年碳排放量稳中有升
C. 2003~2006年,甲国的每年碳排放量总低于乙国的每年碳排放量总量
D. 甲国的年碳排放量的增速远大于乙国
三、根据以下资料,回答下列116-120题。

116、由以上表估算2008年人民币对美元的平均汇率均为:
A. 6.6450 B. 6.9450 C. 6.9740 D. 6.9920
117、以2000年为基准,该省2008年的出口总额均增加
A. 1244亿元 B. 2000亿元 C. 2890亿元 D. 4134亿元
118、2006~2008年,该省平均每年进出口总额约为;
A. 650亿元 B. 800亿元 C. 5000亿元 D. 5500亿元
119、2000~2008年,该省年贸易顺差达到最大的年份是:
A. 2005年 B. 2006年 C. 2007年 D. 2008年
120、根据以上资料,能够推出的是:
A. 2001~2008年,该省每年出口总额相对上年增幅最小的年份是2001年
B. 2001~2008年,该省每年出口总额相对上年增幅最小的年份是2001年
C. 2001~2008年,该省出口总额呈逐年上升趋势
D. 2001~2008年,人民币对美元的平均汇率呈逐年上升的趋势
全部测试到此结束!
2010春季福建公务员考试行政能力测试真题答案
参考答案及解析
第一部分 常识判断
1.A【解析】B项在中国共产党第十七届中央委员会第三次全体会议提出;C项在中国共产党第十六届中央委员会第四次全体会议提出;D项中国共产党第十七届中央委员会第二次会议提出。所以正确答案为A项。
2.B【解析】中央经济工作会议于2009年12月5日至7日在北京召开,会议提出2010年要把改善民生、发展社会事业作为扩大内需、高速经济结构的重点。所以正确答案为B项。
3.C【解析】联合国气候谈判大会的主要目的,是在《京都议定书》的基础上,量化各国的减排目标,减少温室气体CO2的排放。所以正确答案为C项。
4.D【解析】上海世界博览会主题:城市,让生活更美好。国家申办委员会委员、中国贸促会会长俞晓松表示,追求更美好的生活,是全世界人民的共同愿望,是所有国际活动的房屋主题。所以正确答案为D项。
5.D【解析】本题要求选出与古田会议“无关”的一项。古田会议规定了党对军队绝对领导的根本原则;规定了红军的人民军队性质、宗旨和职能;同时规定了人民军队处理内外关系的准则,规定了政治工作和政治机关在军队中的重要地位。所以正确答案为D项。
6.C【解析】本题要求选出与“知行兼举”无关的一项。“知行兼举”强调“行”与“知”的辩证统一关系,二者缺一不可。从书本上得到的知识终归是浅薄的,未能理解知识的真谛。要真正理解书中的深刻道理,必须亲身去躬行实践。“汝果缺学诗,工夫在诗外”的意思是你如果当真要学诗的话,那就应该多注重关于作诗以外的事。就是说不能为了作诗而作诗,增加阅历不是浪费时间,是为了作诗积累素材,这样才能作出好诗。“读万卷书,行万里路”也强调认识和实践的辩证关系。“天行健,君子以自强不息”强调自强不息的重要性,所以正确答案为C项。 [公务员考试真题]
7.A【解析】先秦儒道、汉代经学、魏晋玄学、隋唐佛学及宋明理学、清朝朴学都属于传统,学术发展史上的标注性成就。所以正确答案为A项。
8.D【解析】卧薪尝胆的故事发生在春秋时期,越国国王勾践励精图治以图复国的事迹,演变为成语,形容人刻苦自励、发奋图强。成语“退避三舍”的故事发生在春秋时期,出自《左传·僖公二十二年》。比喻不与人相争或主动让步。“秦晋之好”的典故出自春秋时期,泛指两家联婚。“负荆请罪”的典故发生在战国时期,出自《史记·廉颇蔺相如列传》,形容主动向人认错、道歉,自请严厉责罚。所以正确答案为D项。
9.B【解析】“春蚕到死丝方尽,蜡炬成灰泪始干”出自《无题》,作者李商隐;“感时花溅泪,恨别鸟惊心”出自《春望》,作者杜甫;“天生我材必有用,千金散尽还复来”出自《将进酒》,作者李白;“春潮带雨晚来急,野渡无人舟自横”出自《滁州西涧》,作者韦应物。所以正确答案为B项。
10.B【解析】本题要求选出表述“不正确”的一项。乡试第一名称解元,会试第一名称会元,殿试第一名称状元。所以正确答案为B项。
11.D【解析】本题要求选出“不正确”的一项。“元宵节”又称上元节、元夕节、正月半、小正月、灯节等。农历七月十五为“中元节”,所以正确答案为D项。
12.D【解析】本题要求选出表述“不正确”的一项。海地的官方语文为法语和克里奥耳语,所以正确答案为D项。
13.A【解析】本题要求选出“不属于”金融市场的一项。金融市场是指资金供应者和资金需求者双方通过食用工具进行交易而融通资金的市场,广而言之,是实现倾向借贷和资金融通、办理各种票据和有价证券交易活动的市场,只有拍卖市场不属于金融市场。所以正确答案为A项。
14.D【解析】本题要求选出市场“不具有”的一项功能。宏观调控是政府实施的政策措施以调节市场经济的运行。在市场经济中,商品和服务的供应及需求是受价格规律及自由市场机制所影响。所以正确答案为D项。
15.B【解析】本题要求选出表述“不正确”的一项。区域经济是在一定区域内经济发展的内部因素与外部条件相互作用而产生的生产综合体。这里的区域指的是自然地理区域,并非行政区域。所以正确答案为B项。
16.A【解析】银行存款利率上调,导致股市的资金流入银行,可能导致股票指数下跌。银行存款准备金率提高,导致银行能用于贷款的资金减少,导致市场中流通货币减少,也就是投入股票市场中的资金减少,股票指数就会下跌。所以正确答案为A项。
17.D【解析】本题要求选出表述“不正确”的一项。经济体系的实力与繁荣程度,并不是以其外汇储备的多寡来衡量的,所以正确答案为D项。
18.A【解析】本题要求选出“不属于”行政行为的一项。行政行为是指行政主体行使行政职权,作出的能够产生行政法律效果的行为。某国家机关为建住宅楼与某建筑公司签订建筑工程承包合同属于平等的民事主体发生的民事法律关系,不属于行政行为的范畴。所以正确答案为A项。
19.D【解析】本题要求选出属于“不可以”提起复议行为的一项。《行政复议法》第七条规定,公民、法人或者其他组织认为行政机关的具体行政行为所依据的下列规定不合法,在对具体行政行为申请行政复议时,可以一并向行政复议机关提出对该规定的审查申请:(一)国务院部门的规定;(二)县级以上地方各级人民政府及其工作部门的规定;(三)乡、镇人民政府的规定。前款所列规定不含国务院部、委员会规章和地方人民政府规章。规章的审查依照法律、行政法规输。某省人大的《××省实施<中华人民共和国消费权益保护法>办法》属于地方性法规。所以正确答案为D项。
20.B【解析】文段中根据《合同法》的规定,房屋所有权的转移以是否完成房屋的过户手续为标志,文段中甲与丙订立合同办理房屋过户手续,房屋的所有权转移给丙所有,同时甲应当对乙承担合同不能履行的违约责任。所以正确答案为B项。
21.C【解析】本题要求选出表述“不正确”的一项。《公务员法》第二十一条规定:录用担任主任科员以下及其他相当职务层次的非领导职务公务员,采取公开考试、严格考察、平等竞争、择优录取的办法。《公务员法》第二十二条规定:中央机关及其直属机构公务员的录用,由中央公务员主管部门负责组织,地方各级机关公务员的录用,由省级公务员主管部门负责组织,必要时省级公务员主管部门可以授权设区的市级公务员主管部门组织。《公务员法》第三十一条规定:录用特殊职位的公务员,经省级以上公务员主管部门批准,可以简化程序或者采用其他测评办法。《公务员法》第三十二条规定:新录用的公务员试用期为一年。试用期满合格的,予以任职;不合格的,取消录用。所以正确答案为C项。
22.B【