">
时间:2016-03-12 15:09:16
55.【解析】
56.【解析】B。文段在前面六句的内容都是关于传记和生命活力之间联系的陈述,而通过表示总结的标志“正是这种生命活力……”可知,最后一句是文段的落脚点,是文段的主旨所在,因此正确答案中必须要体现“中国古典传记”和“生命力”两个概念,故选B。
57.【解析C结语推断题,根据上文中最近的提示性信息即增值税和营业税并列形式,所以根据前文最近信息主体一致下文应该是增值税和营业税,所以匹配选项C。
58.【解析】A。本题属于语句排序题。首先确定首句,③提出了一个概念,即“防水平装书”,⑤对这个概念进行具体阐述,可见③应排在⑤之前,排除C、D项。①句中有一个表并列的关联词“还”,不能直接接于③之后,故排除B项。
59.【解析】A。文段第一句指出,中国投资环境发生根本变化,表面上看外资企业面临的投资环境有所恶化。第二句和第三句则表明市场规模扩大、公平竞争更能得以保证。这说明实际上中国的投资环境在朝良性发展的方向转化。
60.【解析】A。本题属于意图判断题。文段脉络为总分结构。首句提出全文重点,即:审慎原则是对科学应用的务实态度。第二句利用分号引导了三个分句,具体阐明了科研成果在应用过程中的弊端,言外之意是呼吁对科研成果的应用应当谨慎。B、C、D三个选项是均对分论点进行阐述,排除。因此,本题答案选择A选项。
第三部分 数量关系:
61.【解析】A。统筹优化问题。由题意,第一次付款144元可得商品原价为160元;第二次付款为310元可得原价为350元。故总价510元,按照优惠,需付款300×0.9+210×0.8=438(元),节省了454-438=16(元)。
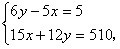
62.【解析】C。本题可采用方程法。设一包A4纸价格为x元,一包B5价格为y元。由题意得:
解得x=20,y=175,故每包B5纸比A4纸便宜2.5元。
63.【解析】B。工程问题。采用赋值法,赋值每个农民割麦子的效率为1,由题意,甲组割麦子的总量为20×1.5+10×1.5=45,故每个农民捆麦子的效率为45÷1.5÷10=3;设从10点之后经过x小时,乙组的麦子全部捆好。故乙组割麦子的总量为15×(3+x),捆麦子总量为20×3×x,二者应该相等,解得x=1(小时);故11:00时麦子可以全部捆好(最后一步可以采用代入排除)。
64.【解析】B。最值问题。构造最不利,由题意,还剩30名员工没有投票,考虑最不利的情况,乙对甲的威胁最大,先给乙5张选票,甲乙即各有15张选票,其余25张选票中,甲只要在获得13张选票就可以确定当选。

67.【解析】C。不定方程问题。由题意两组学生名字字数相差10,两边人数相同,即其中一组比另一组三名字人数多10人,则2名字人数少10人。
68.【解析】C。本题可采用方程法。设该产品最初的成本为元。由题意得:67.1-0.9x=2(67.1-x),解得x=61。因此该产品最初的成本为61元。
69.【解析】A。代入排除思想。代入A项,若相差2岁,则孙儿孙女分别为9岁和11岁,11×11-9×9=40,满足题意。
70.【解析】D。设有x辆出租车,由题意列方程:3x+50=4(x-3),解得x=62。
第四部分 判断推理
71.【解析】B。题干图形的封闭空间的数量分别为3、4、5、6个,因此问号处应填入一个含有7个封闭空间的图形,只有B项符合。
72.【解析】A。题干每幅图形都有四种元素,且每幅图形中都含有相同的元素五角星。因此,本题选择A选项。
73.【解析】B。题干每幅图形中直线的数量都为3,且内部图形与外部图形的交点数都为3。因此,本题选择B选项。
74.【解析】B。题干图形的封闭空间的数量分别为3、4、5、6个,因此问号处应填入一个含有7个封闭空间的图形,只有B项符合。
75.【解析】A。本题考查重构推理,只有A项可由平面图折成。因此,本题选择A选项。
76.【解析】C。关键词是:自由意志。A选项提出终止询问。B选项提到材料一致。D选项从轻发落。C选项提到个人主张这种自由意志。因此,本题选择C选项。
77.【解析】C。印记学习发生在动物活动的早期阶段,A、B、D三项都是动物在早期形成了一种印象或者习惯,继而影响到现在的行为。C项行为的主体是母羊,而它舔小羊的行为并不是在它早期由直接印象形成的学习行为。因此本题答案选C。
78.【解析】D。A项中国家给的补贴是为了保护草场,并非为农产品;B项中没有“提供资金或财政上的支持”;C项中主体不符,某市政府不能代表国家。D项中政府高价回收玉米就是对该农产品的补贴。
79.【解析】C。定义的核心是“产品的设计没有考虑用户的习惯和需要,造成使用上的不便”。A项是质量问题。B项是游戏难度的设置,并没有造成使用的不便。D项说明书并不是产品本身。故本题答案选C。
80.【解析】B。A项中的领先的卫星通话技术费用昂贵而没有获得市场优势,说明自身存在不足,不能说是“劣质的淘汰了优质的”。C项并没有优劣对比。D项是个例,也不符合定义。B项价格高的药占据了大部分市场,而疗效却不如常用药,属于典型的“平庸的淘汰杰出的”情况,故本题选B。
81.【解析】A。关键信息是“产品(服务)销售以后”提供服务,A项是在销售的同时赠送,不符合定义,故本题选A。
82.【解析】D。心理契约的一个重要特点是“没有明文规定”。A项提供双薪、B项签订合同、C项承诺提供免息借款都属于明示的、双方明确约定的情况。D项通过为员工提供职业生涯设计,使员工与企业发张结合在一起,企业能与员工达成并维持一份动态平衡的“心理契约”。因此只有D项符合题目要求。
83.【解析】D。定义可以简单概括为“企业为了配合政策公益目标造成亏损,政府财政予以补贴”。最符合这一定义的是D项。A项并没有涉及企业;B项企业行为并不是为了配合政策,而是其自发的行为;C项中的企业是在大形势下造成的亏损,而不是为了配合某项具体政策而造成的亏损,故排除。本题答案为D。
84.【解析】C。A项,不存在已经建立的社会身份或社会形象。B项,是通过行为树立了形象,并非为了符合已经建立的形象,不符合定义。D项,员工形象会影响公司在旅客心中的形象,说明公司希望在旅客心中树立好的形象,而非符合已经在旅客心中建构的形象,故也不属于自我建构。C项,企业家通过穿西装、坐豪车来表明自己符合在同行心中的形象,符合定义。故本题选C。
85.【解析】B。A项为公益性质,并没有产生经济价值。C项和D项只是借助网络平台,而并不是将自己的智慧、知识、能力、经验直接转化为经济收益。B项属于利用网络,是自己的技术直接转化为经济收益。
86.【解析】A。本题考查语法关系,前者可以修饰后者,平静地讲述,也后者为动词。因此,本题选择A选项。
87.【解析】A。本题考查对应关系。军队必须绝对服从命令,乐队必须绝对服从指挥。因此,本题选择A选项。
88.【解析】C。本题考查反义关系,索然无味是指没有兴趣,卑躬屈膝是指没有骨气。因此,本题选择C选项。
89.【解析】B。本题考查语法关系,程序员编写软件,渔民编制渔网。因此,本题选择B选项。
90.【解析】D。本题考查包含关系。沼泽是一种湿地,稀土是一种矿产。因此,本题选择D选项。
91.【解析】D。本题考查对应关系。由文字组成剧本,根据剧本编排话剧;由音符组成乐谱,根据乐谱演唱歌曲。
92.【解析】C。本题考查包含以及并列关系。自然地理与经济地理为并列关系,同属地理,水果糖与芝麻糖为并列关系,同属糖果。因此,本题选择C选项。 [公务员考试题库大全]
93.【解析】C。本题考查对应关系。家具的一种原材料是木材,雕塑的一种原材料是花岗岩。因此,本题选择C选项。
94.【解析】D。本题考查对应关系。根据航线进行领航,根据规则进行裁判。因此,本题选择D选项。
95.【解析】C。本题考查对应关系。使用电子邮件可以代替去邮局发信,网购可以代替百货商场购物。
96.【解析】C。一般类论证。题干观点:传播媒介拥有不可抵抗的强大力量,受众完全处于被动的地位,消极地等待和接受媒介所灌输的各种思想、感情、知识。C项“社会对电视节目庸俗化倾向普遍存在担忧心理”是一个反向的论据,说明受众不是完全被动的接受。A项中“会有引起某种的反应”并不能说明受众是否接受。B项意思是说按读者需求来进行大众传播不能创造最大利益,D项意思是说改变传播方向的制度不会影响观众数量和构成,都与题无关。
97.【解析】论证类。要支持的论点:彻底消灭细菌可能对健康有危害。C人体健康离不开正常菌群,即为,彻底消灭细菌人体就不健康,对论点的直接支持。A“开始吃奶后就有细菌”,即,应该消灭细菌。对论点有削弱作用。B“皮肤上的细菌”该范围太小,而且“制造独特的体味”和论点无关系;D“细菌侵害人体”对论点是削弱。因此,本题选择C选项。
98.【解析】C。翻译推理类题目。战争和混乱→无协商无理,讲理协商→语言,说理→语言自由;A战争混乱→没有自由,题中“战争和混乱→无协商无理”无协商无理推不出任何事情,A错;B说法和题目原话完全相反,错。D语言自由→无战争,题中“语言自由”推不出任何事情,错。C无自由→无理,无理推不出必然有战争,但可能有战争,正确。而且,课堂上强调过,“有‘可能’的选项一般是正确选项”,据此,此题秒杀。因此本题选择C选项。
99.【解析】B。本题属于加强支持型,论点为嗅觉的发展促进了远古爬行动物的进化,B项对比了进化程度较高的哺乳动物的大脑容量和嗅觉的区域比较,支持了论点。因此,本题选择B选项。
100.【解析】B。本题属于翻译推理,题干翻译为:明星→非创意且非敬业;协作→非写作;敬业→非协作;B项中说乙获得协作奖,则,不能获得写作奖,并且不能获得敬业奖,并且丙一定获得了写作奖,甲获得了明星奖,并且不能获得创意和敬业奖,并且不能获得协作奖和写作奖,题干中有5个奖项,3个人,每个人最多获得2个奖项,甲只能获得一个奖项,因此,乙丙都能获得2个奖项,因此,本题选择B选项。
101.【解析】C。论证类。要支持的论点:高二氧化碳环境中孵化的鱼,生存能力较弱。A“二氧化碳软化海洋生物外壳骨骼”加强;B“高二氧化碳使其呼吸繁衍都困难”加强;D“高二氧化碳环境中,小丑鱼幼鱼听不到天敌声音”,即,易被天敌伤害,加强;C“二氧化碳会转化成淀粉氧气”,有利于生存,对论点是削弱。题目让选“不能支持的”,正确答案为C选项。
102.【解析】C。论证类。要削弱的论点:放射性低的贫铀弹不会影响健康;论据:对退伍老兵的体检未检测出负面影响。B“致力于解决放射性问题”和论点无直接关系;ACD都可削弱,但最直接、离题目最近的应该是C,材料中药证明的是“退伍老兵”这个群体,因此本题答案为C选项。
103.【解析】A。本题属于加强支持型,论点为:睡眠不会影响健康,反而会保护大脑健康,A项直接给出现象,长期不做梦的人睡醒后仍然会感到疲惫,说明做梦对健康有益。因此,本题选择A选项。
104.【解析】C。本题属于加强支持型,论点为红球菌能够提高生物燃料的利用率,C项说红球菌可以产生分解木质素的酶。因此,本题选择C选项。
105.【解析】D。本题属于日常推理型,题干中表达了父母对孩子的教育,两种不同的方式都进行了表述,但是并没有进行比较,只有D项能够推出。因此,本题选择D选项。
第五部分 资料分析
106.【解析】B。本题属简单计算。2011年1~7月,全国造船完工总量为1~9月减去9月减去8月,为5101-786-786/(1+67.2%)=3845。
107.【解析】D。本题考核比重的计算。2011年1~9月,新承接出口船舶订单在全国造船完工总量中的比重=2162/5101=42.4%。因此,答案选择D选项。
108.【解析】B。本题考核倍数的计算。2011年1~9月,全国手持出口船舶订单约为新承接出口船舶订单的比值=13863/21