高考地理知识点总结《地理环境的地域分异规律》考点预测(2017年强化版)(二)

时间:2017-08-08 16:37:28

微信搜索关注"91考试网"公众号,领30元,获取事业编教师公务员等考试资料40G

1、单选题  
下图表示某树木年轮截面的一部分,标号①②③分别表示5年时间段的年轮。该树生长地区7月气温最低,但仍高于0 ℃。完成:

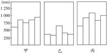
小题1:植物生长与气候密切相关,在气温变化较稳定的前提下,下图中表示①②③三个时间段逐年降水量的图依次是

A.甲、乙、丙
B.丙、乙、甲
C.乙、甲、丙
D.丙、甲、乙
小题2:该树生长地点可能在
A.30°S,118°E
B.23.5°N,130°E
C.44°S,173°E
D.30°N,118°E
小题3:该树生长地区自然带可能为
A.亚寒带针叶林带
B.亚热带常绿硬叶林带
C.热带雨林带
D.温带草原带



2、单选题  古诗是中华民族灿烂文明的一个重要组成部分,许多古诗不仅诗句优美,表达作者情感丰富,同时还蕴含着科学知识。根据地域分异规律的知识及图,回答题。

小题1:“五原春色归来迟,二月垂柳未挂丝。即今河畔冰开日,正是长安花落时”,其中描述的现象
A.是一种地方性分异规律
B.是两地水分差异造成的
C.是由于流经两地的河流不同造成的
D.反映了纬度地带分异规律
小题2:“羌笛何须怨杨柳,春风不度玉门关”,从地理角度理解
A.说明了冬季风到达不了玉门关
B.反映了从沿海到内陆水分条件的差异
C.反映了玉门关的热量条件不适合杨柳种植
D.反映了玉门关以西绝对无杨柳生长



3、单选题  如图为青藏高原及我国温带若干自然带的关系图式。读图回答下题。

小题1:R所代表的自然带可能是(  )
A.苔原带
B.温带草原带
C.亚寒带针叶林带
D.温带落叶阔叶林带
小题2:导致自然带沿OF方向发生变化的主导因素是(  )
A.热量
B.水分
C.风力
D.光照



4、综合题  读“沿20°E经线地理剖面图”(图13),回答问题:(8分)

(1)写出代码处的自然带名称:
A__________;
C__________;
D__________。
(2)从A到Y的自然带变化,体现了_____地带往的变化规律,产生这种变化的根本原因是____________。
(3)G山名称是____山,其南坡雪线比北坡_____,原因是______________。



5、单选题  某山共分布三类原生森林。下图显示三类森林每年每平方米净增的有机物质干重(NPP与温度变化,降水量变化的关系。据此完成1—3题。

1、上图信息显示,三类森林中
[? ]
A.②的NPP对温度的变化最不敏感
B.NPP与温度变化都成正相关
C.②的NPP对降水的变化最敏感
D.NPP对降水的变化都很敏感
2、三类森林分布的海拔自低至高依次是
[? ]
A.③①②
B.③②①
C.①②③
D.①③②
3、若①为针阔叶混交林,则该山可能位于
[? ]
A.河南省
B.吉林省
C.安徽省
D.福建省




首页 上页 1 2 3 下页 尾页 2/10/10
微信搜索关注"91考试网"公众号,领30元,获取公务员事业编教师考试资料40G
【省市县地区导航】【考试题库导航】
 ★ 高考省级导航 ★ 
全国 A安徽 B北京 C重庆 F福建 G广东 广西 甘肃 贵州 H河南 河北 湖南 湖北 黑龙江 海南 J江苏 江西 吉林 L辽宁 N内蒙古 宁夏 Q青海 S山东 山西 陕西 四川 上海 T天津 X新疆 西藏 Y云南 Z浙江
 ★ 高考信息汇总 ★ 
 ★ 高考历年真题 ★ 
 ★ 高考历年真题 ★ 
 ★ 高考题库 ★ 
 ★ 高考题库 ★ 

电脑版  |  手机版  |  返回顶部