高考地理知识点总结《水的运动》考点预测(2017年强化版)(二)

时间:2017-08-06 03:13:41

微信搜索关注"91考试网"公众号,领30元,获取事业编教师公务员等考试资料40G

1、判断题  水循环中的水汽输送环节能够使陆地水资源得到不断补充、更新。
[? ]



2、单选题  目前,人类大量利用的淡水资源主要是
[? ]
A、地下水、湖沼水和土壤水
B、海洋水和冰川水
C、河流水、浅层地下水和淡水湖泊水
D、冰川和生物水



3、单选题  地球上淡水的主体是(    )
A.海洋水
B.冰川水
C.河流水
D.地下水



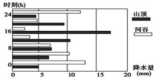
4、单选题  下图为某山区降水量日变化统计图。读图,完成下列各题。

【小题1】图中显示的降水特点是(   )
A.山顶昼雨少
B.河谷盆地夜雨多
C.河谷盆地日降水量变幅大
D.从河谷盆地到山顶,日降水量减少
【小题2】造成山顶与河谷盆地降水日变化差异的直接原因是(   )
A.热力环流
B.太阳辐射
C.植被状况
D.地形起伏



5、综合题  读下图,完成下列要求。

(1)若该图表示为热力环流图,甲、乙、丙、丁中气温最高的是_________,气压最高的是_________。
(2)若该图表示为水循环示意图,则④表示___________。
(3)若该图表示为中低纬度海区的大洋环流,则该海区在______半球,按其性质分①②③④中属于寒流
? 的是__________。




首页 上页 1 2 3 下页 尾页 2/10/10
微信搜索关注"91考试网"公众号,领30元,获取公务员事业编教师考试资料40G
【省市县地区导航】【考试题库导航】
 ★ 高考省级导航 ★ 
全国 A安徽 B北京 C重庆 F福建 G广东 广西 甘肃 贵州 H河南 河北 湖南 湖北 黑龙江 海南 J江苏 江西 吉林 L辽宁 N内蒙古 宁夏 Q青海 S山东 山西 陕西 四川 上海 T天津 X新疆 西藏 Y云南 Z浙江
 ★ 高考信息汇总 ★ 
 ★ 高考历年真题 ★ 
 ★ 高考历年真题 ★ 
 ★ 高考题库 ★ 
 ★ 高考题库 ★ 

电脑版  |  手机版  |  返回顶部