高考地理知识大全《地壳物质循环及地表形态的塑造》试题巩固(2017年最新版)(九)

时间:2017-07-27 20:32:01

微信搜索关注"91考试网"公众号,领30元,获取事业编教师公务员等考试资料40G

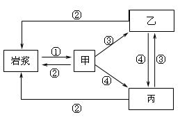
1、单选题  读“地壳物质循环示意图”,完成以下问题。

【小题1】属于甲类岩石的是
A.石灰岩、砂岩
B.大理岩、片麻岩
C.页岩、板岩
D.花岗岩、玄武岩
【小题2】塑造长江三角洲的地质作用属于
A.①
B.②
C.③
D.④


参考答案:
【小题1】D
【小题2】C


本题解析:
【小题1】甲类岩石可以和岩浆互相转化,说明为岩浆岩,石灰岩、页岩属于沉积岩,大理岩、片麻岩、板岩属于变质岩,花岗岩和玄武岩分别属于侵入型岩浆岩和喷出型岩浆岩。
【小题2】长江三角洲是流水沉积作用所形成的,属于外力作用。图中①、②、③、④分别是冷却凝固、高温重熔、外力作用、变质作用。
考点:岩石圈物质循环


本题难度:一般



2、综合题  读“世界六大板块分布图”,完成下列问题。(13分)

(1)③板块周围主要为_________(生长、消亡)边界,简要说明这类边界对该板块的影响。(3分)
(2)简述安第斯山脉的形成。(2分)
(3)红海位于__________板块与__________板块交界处(填图中数字),分析其形成原因及发展趋势。(5分)
(4)世界四大著名渔场中,位于大西洋东部海区的是__________渔场,简要说明其形成的主要原因。(3分)


参考答案:(1)消亡(1分)使该板块的面积逐渐缩小;边界地区地壳不稳定。(2分)
(2)由于南极洲板块和美洲板块碰撞挤压、隆起抬升而成。(2分)
(3)② ⑤,(2分) 由于印度洋板块和非洲板块之间张裂,断裂下陷而成,(2分)
今后面积将会由于继续张裂而扩张。(1分)
(4)北海(1分)
处于温带大陆架地区,并有北大西洋暖流和东格陵兰寒流交汇。(2分)


本题解析:(1)板块挤压 的边界是消亡型边界。挤压运动,板块面积减小,边界处,地壳不稳定。(2)安第斯山脉由于南极洲板块和美洲板块碰撞挤压、隆起抬升而成。(3)红海是板块的张裂运动形成。(4)渔场的成因是寒暖流交汇形成。


本题难度:一般



3、单选题  位于冰岛南部的艾雅法拉火山于4月14日喷发,火山灰在7000~10000米左右的高空形成了火山灰云团。读图3回答6、7题。

小题1:下列关于冰岛火山喷的叙述正确的是?
A.火山位于亚欧板块和美洲板块的生长边界上
B.造成北极地区冰盖大面积融化,形成洪水
C.将增强大气的吸收作用,加剧全球气候变暖
D.将使平流层凝结核增加,带来雷、雨等天气变化
小题2:欧洲受这次火山喷发的影响,损失较大的经济部门是?
①鲜切花生产?②远洋运输业?③金融服务业?④旅游业
A.①②
B.②③
C.①④
D.③④


参考答案:
小题1:A
小题2:C


本题解析:略


本题难度:简单



4、单选题  岩石按其形成原因可以分为沉积岩、变质岩和(  )
A.喷出岩
B.岩浆岩
C.侵入岩
D.岩浆


参考答案:B


本题解析:
岩石按其形成原因可以分为岩浆岩、沉积岩和变质岩三类。由于岩浆活动而生成的属于岩浆岩。又可以分为侵入岩和喷出岩两类,所以本题B正确。
考点:本题主要考查地壳物质循环。


本题难度:一般



5、单选题  读图,回答下列各题。

小题1: 图示地质构造主要由水平张力形成的是
A.①
B.②
C.③
D.④
小题2: 选择坝址是修建水库的关键之一,图示方案中,最适宜建大坝的是
A.①
B.②
C.③
D.④


参考答案:
小题1:A?
小题2:D


本题解析:
小题1:读图,根据岩层弯曲形态,很容易断定②、④是挤压造成的,B、D错。根据岩层的措动方向,可以判断①是水平张力作用下,岩层形成的断层,A对。如果岩层是挤压发生的措动,上面的岩层应向上移动位移,如③图所示,C错。
小题2:坝址的选择,要考虑地质构造,地基的坚固。断层处不能建大坝,①、③错。背斜顶部受张力作用,易被侵蚀,②错。④位于向斜槽部,岩石受挤压,岩性坚硬,不易被侵蚀,④对。所以D对。


本题难度:一般




首页 上页 8 9 10 下页 尾页 9/10/10
微信搜索关注"91考试网"公众号,领30元,获取公务员事业编教师考试资料40G
【省市县地区导航】【考试题库导航】
 ★ 高考省级导航 ★ 
全国 A安徽 B北京 C重庆 F福建 G广东 广西 甘肃 贵州 H河南 河北 湖南 湖北 黑龙江 海南 J江苏 江西 吉林 L辽宁 N内蒙古 宁夏 Q青海 S山东 山西 陕西 四川 上海 T天津 X新疆 西藏 Y云南 Z浙江
 ★ 高考信息汇总 ★ 
 ★ 高考历年真题 ★ 
 ★ 高考历年真题 ★ 
 ★ 高考题库 ★ 
 ★ 高考题库 ★ 

电脑版  |  手机版  |  返回顶部