高考地理知识大全《地壳物质循环及地表形态的塑造》考点特训(2017年冲刺版)(九)

时间:2017-02-01 22:47:05

微信搜索关注"91考试网"公众号,领30元,获取事业编教师公务员等考试资料40G

1、单选题  下列地理名称,按组成和被组成的关系排列正确的是
①岩石 ②化学元素 ③矿床 ④矿物
⑤矿产 ⑥地壳 ⑦变质岩 ⑧沉积岩 ⑨岩浆
A.②—⑤—①—⑨
B.②—④—⑥—⑦
C.②—④—①—⑥
D.②—④—③—⑤


参考答案:C


本题解析:本题考查地壳的物质组成。地壳是由岩石组成的,岩石是由矿物组成的,矿物是有地壳中的化学元素组成的。


本题难度:一般



2、单选题  关于内力与外力的关系,说法正确的是(????)??
A.内力作用使地表形态趋于平坦,外力作用则使地表变得高低不平
B.外力作用在地壳形态变化中起主导作用
C.在 一个地区一段时间内,可能是内力占优势,也可能是外力占优势
D.地形的变化总是先有内力的作用然后才有外力的影响


参考答案:C


本题解析:内力作用使地表变得高低不平,外力作用使地表趋于平坦,两者同时起作用,共同塑造地表形态。但在一个地区一段时间内,可能是内力占优势,也可能是外力占优势。


本题难度:一般



3、单选题  火山喷发产生的火山灰云团对其覆盖地区影响是
A.增强了大气反射作用,使气温增高
B.减弱了大气反射作用,使气温降低
C.增强了大气逆辐射,使昼夜温差变小
D.减弱了大气逆辐射,使昼夜温差变小


参考答案:C


本题解析:本题考查大气的受热过程和大气的保温作用。大气对太阳辐射的吸收:具有选择性(大气中的臭氧和氧原子主要吸收紫外线;水汽和二氧化碳主要吸收红外线),而对太阳辐射中能量最强的可见光吸收很少,太阳辐射不是大气的主要直接热源。地面辐射:为长波辐射,除少部分透过大气返回宇宙空间外,绝大部分为大气中的水汽和二氧化碳吸收,因此,地面是低层大气主要的直接热源。大气逆辐射:大气在增温的同时,也向外放出红外辐射,也是长波辐射,其大部分辐射向地面,称大气逆辐射,补充地面热量的损失,对地面起到了保温作用。火山喷发产生的火山灰云团,增强了大气逆辐射,使昼夜温差变小。所以本题选择C选项。


本题难度:一般



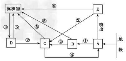
4、单选题  读岩石圈物质循环示意图,回答1~2题。

1.图中B、D代表的岩石分别是
[?????]
A.侵入型岩浆岩、沉积岩????
B.沉积岩、侵入型岩浆岩??
C.变质岩、喷出型岩浆岩????
D.沉积岩、变质岩
2.图中②表示的是
[?????]
A.外力作用???????
B.变质作用?????
C.上升、冷却凝固作用??????
D.高温熔化作用


参考答案:1.A
2.B


本题解析:


本题难度:简单



5、单选题  黄土高原地表千沟万壑的主要外力作用是(   )
A.风化作用
B.流水侵蚀作用
C.沉积作用
D.冰川侵蚀作用


参考答案:B


本题解析:试题分析:
黄土高原地区黄土质地疏松,抗侵蚀能力差,再加上该地夏季降水集中且多暴雨,所以流水侵蚀严重,地表沟壑万千。
考点:考查外力作用及其地表形态。


本题难度:一般




首页 上页 8 9 10 下页 尾页 9/10/10
微信搜索关注"91考试网"公众号,领30元,获取公务员事业编教师考试资料40G
【省市县地区导航】【考试题库导航】
 ★ 高考省级导航 ★ 
全国 A安徽 B北京 C重庆 F福建 G广东 广西 甘肃 贵州 H河南 河北 湖南 湖北 黑龙江 海南 J江苏 江西 吉林 L辽宁 N内蒙古 宁夏 Q青海 S山东 山西 陕西 四川 上海 T天津 X新疆 西藏 Y云南 Z浙江
 ★ 高考信息汇总 ★ 
 ★ 高考历年真题 ★ 
 ★ 高考历年真题 ★ 
 ★ 高考题库 ★ 
 ★ 高考题库 ★ 

电脑版  |  手机版  |  返回顶部