高中地理知识点大全《地壳物质循环及地表形态的塑造》考点预测(2017年强化版)(一)

时间:2017-01-19 07:42:37

微信搜索关注"91考试网"公众号,领30元,获取事业编教师公务员等考试资料40G

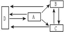
1、单选题  读“岩石圈物质循环示意”图,图中字母A B C D 表示的地理含义是?

A.岩浆、岩浆岩、沉积岩、变质岩
B.岩浆岩、沉积岩、变质岩、岩浆
C.变质岩、沉积岩、岩浆岩、岩浆
D.沉积岩、变质岩、岩浆、岩浆岩



2、单选题  下图为某河流域(局部)不同时期地质剖面示意图。读图完成下题。

【小题1】与2000年相比,图示区域2010年(   )
A.河流水位季节变化大
B.雨季坡面径流量增加
C.雨季坡面下渗量增加
D.雨季河流含沙量增大
【小题2】图中最早形成的地层是(   )
A.①
B.②
C.③
D.④



3、单选题  下图为美国犹他州拱门国家公园“精致拱门”景点,年均降雨量为250 mm,约三亿年前,这里是海洋。据资料完成问题。

【小题1】“精致拱门”景点的岩石类型为:(   )
A.沉积岩
B.变质岩
C.侵入岩
D.喷出岩
【小题2】“拱门”的主要成因为:(   )
A.流水侵蚀
B.风力侵蚀
C.风化、侵蚀
D.冰川侵蚀



4、综合题  云南某中学地理活动兴趣小组暑假期间对我国东部沿海某地进行了地质、地貌、水文等野外考察,读该地水循环及地质剖面示意图,完成下列问题。(每空一分,共12分)

(1)图中表现出水循环的主要环节①是         、②是       。该水循环的类型为             
(2)若本区大量砍伐树木,主要会对水循环    ____环节产生影响,党中央实施的南水北调工程反映了我国水资源___________________的特点。
(3)从地质构造上看,甲地属于___________,丁地属于_________。
(4)若图示地区处于我国东南沿海,则图中包含的世界著名板块名称分别是:              、  _____________。
(5)丙区域常出现的地质灾害主要有         ,丁区域常出现的气象灾害主要有             
(6)假设甲山顶部海拔为3000米,老师在上山前(海拔500m处,温度计显示22℃)提示同学们要多带一点衣服,请你应用地理学知识推测山顶处的气温可能为_____℃。



5、单选题  下图为某区域地质地貌简图,其中实线为等高线(单位:米),虚线为地层界线。以下关于图示地区的说法,正确的是

A.背斜成山              B是良好的储水构造
C.断层发育,形成断块山   D. P处容易被外力侵蚀成谷




首页 上页 1 2 3 下页 尾页 1/10/10
微信搜索关注"91考试网"公众号,领30元,获取公务员事业编教师考试资料40G
【省市县地区导航】【考试题库导航】
 ★ 高考省级导航 ★ 
全国 A安徽 B北京 C重庆 F福建 G广东 广西 甘肃 贵州 H河南 河北 湖南 湖北 黑龙江 海南 J江苏 江西 吉林 L辽宁 N内蒙古 宁夏 Q青海 S山东 山西 陕西 四川 上海 T天津 X新疆 西藏 Y云南 Z浙江
 ★ 高考信息汇总 ★ 
 ★ 高考历年真题 ★ 
 ★ 高考历年真题 ★ 
 ★ 高考题库 ★ 
 ★ 高考题库 ★ 

电脑版  |  手机版  |  返回顶部