时间:2017-01-15 10:25:04
1、单选题 PM2.5是指大气中直径小于或等于2.5微米的颗粒物,是造成雾霾天气的主要原因。下图为“北京市某日PM2.5浓度变化示意图”。读图回答下列各题。
小题1:图中PM2.5浓度高峰出现时段(???)
A.风力强劲
B.阴雨绵绵
C.汽车尾气激增
D.工地扬尘增多
小题2:可以有效减少北京市雾霾天气的主要措施是(???)
A.加强环境监测
B.实施人工降雨
C.居民减少外出
D.减少废气排放
小题3:及时监测雾霾天气影响范围所使用的地理信息技术主要是(???)
A.全球定位系统
B.地理信息系统
C.遥感
D.数字地球
参考答案:小题1:C??
小题2:D??
小题3:C
本题解析:试题分析:小题1:读图,图中PM2.5浓度高峰出现时段主要集中在上下班的高峰时段,这段时间车辆多,容易出现交通拥堵,汽车尾气激增,C对。强风天气会将污染气体吹走,不会有雾霾天气,A错。阴雨绵绵天气PM2.5浓度会较低,B错。工地扬尘多的时间不可能集中在上下班时间,应该在工作时间,D错。
小题2:PM2.5是在生产、生活中排放的废气中的颗粒物,减少废气的排放,可以有效减少北京市雾霾天气,D对。加强监测只能及时掌握情况,不能使含量减少,A错。人工降雨可以减少PM2.5的颗粒物含量,但不能成为主要措施,人工降雨需要有充足的水份条件,B错。减少外出,也失去了部分自由,不能成为主要措施,C错。
小题3:全球定位系统主要功能是定位和导航,不能进行监测,A错。地理信息系统是对地理信息的进行收集、处理、存储、分析,不能用来监测,B错。RS是遥感,主要是测量、记录,是遥远的感知目标物,可以监测目标物的变化,C对。数字地球是用数字化的方法,将地球上的所有信息转化为数据,实现网络上的流通和共享,不能监测,D错。
本题难度:一般
2、单选题 下列叙述,正确的是(? )
A.全球变暖,会使降水增加,农作物增产
B.保护大气环境,需要独自努力
C.保护热带森林,是减少CO2含量的有效措施
D.我国远离南极,可不参与臭氧层保护
参考答案:C
本题解析:本题考查全球性的环境问题。A项全球变暖使世界各地的降水和干湿状况发生变化,有的地区降水增多,有的地区降水减少;错误;B项保护大气环境需要全球共同努力;错误;D项保护南极臭氧层需要全球共同的努力;错误;故选C项。
本题难度:一般
3、综合题 读我国轮廓图,回答问题。
(1)以甲为代表的“///”所示的地区突出的生态环境问题是 _________。造成这一生态环境问题的自然原因主要有_______?;人为原因主要有? ___________ 。(5分)
(2)丙所在的地形区是 ___________ 。这个地形区中的大城市由于空气污染而形成的环境问题主要是________,形成这一环境问题的气候条件是__________________ ,当地能源结构的特点是_________________________?。(4分)
(3)乙为低山丘陵地区,多雨,加之人类 ________________________ 等不合理的活动,使这一地区容易产生的生态环境问题是 ______________________ 。(2分)
(4)图中1~8各城市生活与生产面临的最大环境资源问题是? __________?,其形成的主要自然原因是 ___________________________???。(3分)
(5)图中A~F各城市由于能源结构以 ________?为主,冬季采暖期长,重工业集中以环境污染以 _________污染最为突出。(2分)
参考答案:
(1)荒漠化?????自然:气候干旱、多大风,太阳辐
本题解析:略
本题难度:简单
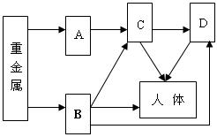
4、综合题 重金属污染,是威胁人类身体健康的“隐形杀手”。1953年日本发生过震惊世界的水俣病事件,就是由工业污染造成了重金属物质汞(甲基汞)在鱼体内积累,人长期食用被污染的鱼后中毒而致的……我们日常所使用的普通干电池中,含有汞、锰、镉、铅、锌等重金属物质,废电池丢弃后,这些重金属会污染环境……按每人每月使用一节干电池的保守计算,杭州市区每年就产生2000万节废电池,合约300吨,其中约含1800千克的汞和汞化合物。
(1)干电池被丢弃污染环境后,重金属是如何进行迁移富集,进入人体的? 读图后,请在下列环节后的括号内填上所对应的字母。
土?壤………………(???)
地下水………………(???)???????????????????????????????
畜?禽………………(???)
植?物………………(???)
(2)要解决上述问题,首先要对生活垃圾进行????????投放;由专门部门回收后,再从环境角度出发进行?????????处理。同时,可以进行废物利用。
(3)人们为什么称重金属污染为“隐形杀手”?
参考答案:15.答案:(1)A? B? D? C?? (2)分类?无公
本题解析:(1)干电池被丢弃污染环境后,重金属是通过人们与自然界的联系进行迁移富集,进入人体的。
(2)要解决上述问题,首先要对生活垃圾进行分类投放;由专门部门回收后,再从环境角度出发进行无公害处理。同时,可以进行废物利用
3)人们称重金属污染为“隐形杀手”的原因是重金属污染可通过食物链不断富集、传递,最后到达人体,并在人体内积聚。当人体内的重金属达到一定量以后,就会损害人的肌体、危害人的健康乃至生命。这个过程十分缓慢,不易被人发觉。但到发觉时,往往已产生严重的后果。因此重金属污染被称为“隐形杀手”
本题难度:简单
5、单选题 ??? 咸潮是指沿海地区海水通过河流或其他渠道倒流进内陆区域后,水中的盐分仍然达到或超过250毫克/升的自然灾害。今年我国长江口和珠江口受咸潮影响比较严重。以下关于咸潮及其防治的说法正确的是
[???? ]
A、咸潮上溯属于沿海地区一种特有的季节性自然现象,多发于夏秋季节
B、降水多是形成咸潮的主要原因
C、海平面上升会减慢咸潮蔓延
D、建立预警机制,加强对咸潮的预测、预报是防治咸潮的重要措施
参考答案:D
本题解析:
本题难度:简单