时间:2021-03-15 06:39:15
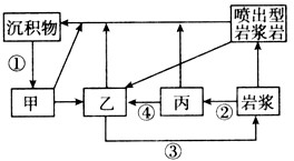
1、综合题 读地壳物质循环示意图,①②③④表示各类地质作用。据此回答下列问题。(15分)
(1)将下列地理名称按组成或被组成的关系,排列正确的是( )(2分)
①岩石 ②化学元素 ③矿石 ④矿物 ⑤矿产 ⑥地壳
A.②→⑤→①→④
B.②→④→⑥→①
C.②→④→①→⑥
D.②→④→③→⑤
(2)写出甲、乙、丙所代表的岩石类型。(6分)
甲 ;乙 ;丙 。
(3)写出图中序号所代表的含义(8分)
① ; ② ;
③ ; ④ 。
2、单选题 读某地的地质构造示意图,完成下列小题。
【小题1】与东非大裂谷的成因最符合的是( )
A.a
B.b
C.c
D.d
【小题2】①②③④四处的岩层比较,年龄最轻的岩层是( )
A.①
B.②
C.③
D.④
【小题3】形成黄土高原及其千沟万壑地表的主要原因,组合正确的一组是( )
A.流水堆积,流水侵蚀
B.风力堆积,流水侵蚀
C.风力侵蚀,流水堆积
D.流水侵蚀,植被不良
3、单选题 读地壳物质循环简略示意图,回答题。
小题1:①代表的物质是
A.岩浆岩
B.沉积岩
C.岩浆
D.变质岩
小题2:如果③代表的是沉积岩,则箭头b代表的是
A.上升冷却凝固
B.变质作用
C.外力作用
D.重熔再生
4、单选题 读图回答下列各题
【小题1】甲地为峰林,同类景观多出现在
①苏 ②湘 ③滇 ④新 ⑤桂 ⑥内蒙古
A.①②
B.③④
C.③⑤
D.⑤⑥
【小题2】图中
A.甲处侵蚀作用最强烈
B.乙处由内力作用形成
C.丙处易发生滑坡现象
D.丁处是典型的背斜山
5、单选题 图为某地地质剖面图,勘探队员观察到,甲处有一自北向南流的河流,东岸冲刷严重,有关该地的判断,正确的是
A.四个钻孔都可能钻到地下溶洞
B.乙处岩石可能为变质岩
C.甲处河流不可能有地下水补给
D.铁矿矿体形成时间比断层晚