时间:2020-08-01 07:08:35
1、单选题 下图示意我国东南某区域地形分布,读图完成以下问题。
【小题1】河流段的两个断面水面的高程差称为落差。a溪流的图示河段落差可能为
A.20m
B.40m
C.60m
D.80m
【小题2】水圳是人工修建的用来灌溉农田的水利体系。下列四条水路中表示水圳的是
A.b
B.c
C.d
D.e
【小题3】暴雨发生时下列四点中最易被侵蚀的是
A.甲
B.乙
C.丙
D.丁
参考答案:
【小题1】B
【小题2】A
【小题3】C
本题解析:
【小题1】a溪流第一断面的海拔在140—160米之间,第二个断面之间的海拔在100——120米之间,所以其落差在20—60米之间,结合选择项可知,40m符合条件,B正确。
【小题2】根据“水圳是人工修建的用来灌溉农田的水利体系”可知,水圳目的是为了灌溉农田,所以其分布地区有大片的农田,而农田多分布在地形平坦的地区,即等高线稀疏的地方;另外水圳灌溉农田利用落差来引流,所以其分布地区要有适当的落差。根据这两个条件,结合图中信息可知,b处最合适。A正确。
【小题3】丙地位于河流的凹岸,最容易被侵蚀,C正确。
考点:等高线地形图判读、河流地貌的形成
本题难度:一般
2、单选题 下图示意某区域两个不同时期河流地貌发育情况。读图完成下列各题。
【小题1】河漫滩最宽阔的河段是( )
A.①
B.②
C.③
D.④
【小题2】前后两个时期水系变化的主要原因是( )
A.侵蚀作用
B.堆积作用
C.地壳上升
D.火山喷发
参考答案:
【小题1】B
【小题2】A
本题解析:
【小题1】河漫滩指汛期时被洪水淹没,枯水期露出水面的滩地,是指由河流携带的泥沙堆积形成。图中②处河流最弯曲,河流凸岸堆积,凹岸侵蚀,使河流越来越弯曲,河漫滩最宽阔。B对。其它三地河道较直,说明水流快,河漫滩发育少,A、B、D错。
【小题2】读图,由于南侧河流的溯源侵蚀,使得南侧河流与北侧河流连接,改变了河流的水系结构,A对。与堆积作用、地壳上升、火山无关,B、C、D错。
考点:河流的水系特征及变化原因。
本题难度:一般
3、综合题 读“某地质构造剖面图”,回答问题。
(1) 图中甲、乙两处的地质构造分别是:甲?,乙?。从地形上看,甲:为?,乙处为?;其形成原因是甲处?,乙处?。
(2) 丙处是否适合建水库??,简要说明其理由?。
(3) 图中字母表示的水循环类型属于?循环,其中a表示的环节是?,d表示的环节是?。
(4) 能够完成图中b功能的是?(?)
A.我国的冬季风? B.我国的夏季风? C.干热的山谷风? D.未登陆的台风
近年来越来越多的国家和地区重视对水的拦蓄和利用,以色列几乎把每一滴雨水积存起来。
(5) 对雨水的拦蓄和利用是对图12中水循环??(填写字母)环节产生影响。
(6) 拦蓄和利用雨水,可以解决的矛盾是
A.水资源空间分布不均
B.水资源时间分配不均
C.水资源地区使用不均
D.农业与工业的用水不均
参考答案:(1)向斜(1分)?背斜(1分)?山岭(1分)?谷地(1分)?
向斜槽部受挤压,不容易被侵蚀,而形成山岭(1分)
背斜顶部因受张力作用,常被侵蚀成谷地(1分)
(2)丙处不适合建水库。(1分)此处是断层,为地质构造不稳定区,会对水库大坝构成威胁,并且丙处在断层线的部位,地下水容易从断层线下渗。(1分)
(3)海陆间(1分) 蒸发(1分)?地表径流(1分)
(4)B(1分)?(5)d(1分)?(6)B(1分)
本题解析:本题考查地质构造和水循环。(1)图示甲处中间岩层向下凹,故判断为向斜;乙处中间岩层向上拱起,故判断为背斜;从地形上看,甲处中间高,周围低,判断为山岭;而乙处中间低周围高,判断为山谷;从外力作用的角度分析背斜成谷,向斜成山的理由。(2)图示丙处为断层附近,岩层破碎,地壳运动较活跃,故不易建水库。(3)图示水循环联系海洋和陆地,故判断为海陆间循环。图示a环节为海洋水汽蒸发;d为陆地的地表径流。(4)图示b为水汽输送,把海洋水汽从海洋上空带到陆地上空,故影响我国的夏季风符合。(5)对雨水的拦截属于影响地表径流环节。(6)拦截和利用雨水,改变了水资源的时间分配。
本题难度:一般
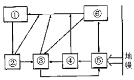
4、单选题 下图是三大类岩石关系示意图,图中序号①一⑥分别代表岩浆、喷出岩、侵入岩、沉积物、沉积岩、变质岩中的某一项,图中代表沉积岩和变质岩的序号分别是( )
A.①和②
B.②和③
C.④和⑤
D.①和⑥
参考答案:B
本题解析:
根据图中的箭头指向可逐一判断。来自于地幔物质为岩浆,地幔中的软流层一般认为是岩浆的发源地。⑤为岩浆;由岩浆直接形成的为岩浆岩,故⑥为喷出岩④为侵入岩;①应为地表的沉积物,②为沉积岩,则③为变质岩。故B正确。
考点:岩石圈物质形成及转化过程。
本题难度:一般
5、综合题 读“某地的地质剖面图”,假如你作为一位地质工程师,试对下列问题作一些简要分析。(10分)
(1)图示地质构造类型有:甲________,乙________。
(2)在地貌上,甲构造顶部岩层缺失的原因是______________________________,褶皱构造上覆盖有岩石是由____________作用形成的。据此,可推断这一地区的地壳运动情况为__________________________。
(3)如果在这里修建一条东西向的地下隧道,应该选择在________地,原因是_________________________。若想打一眼深水井,应该选择在________地;钻探石油应该选择________地,原因是________________。
参考答案:
(1)背斜;向斜
(2)背斜顶部因受张力,易被侵蚀;外力沉积;先是地壳运动使岩层产生褶皱,地面隆起或凹陷,接受外力侵蚀,后来地壳下沉,接受外力沉积
(3)甲;上拱的岩层具有良好的支撑作用,且地下水沿岩层向两侧渗流,有利于保持隧道的干燥;乙;甲;岩层上拱,容易形成储油构造,且其中的隔水层能防止石油、天然气挥发,有利于其富集。
本题解析:
(1)根据图示的岩层的弯曲判断,甲处中间岩层向上拱起,故判断为背斜;乙处中间岩层向下凹,故判断为向斜。
(2)甲处位于背斜顶部,其顶部缺失主要从外力侵蚀的角度分析。褶皱构造上覆盖有岩石是沉积岩,其是由外力作用形成的。所以结合整体岩层分布可知,该地先是地壳运动使岩层产生褶皱,地面隆起或凹陷,接受外力侵蚀,后来地壳下沉,接受外力沉积。
(3)根据所学地质构造知识可知,背斜储油、向斜储水。挖隧道应位于背斜结构,可从力学原理和地下水的运动方向分析。
考点:地质构造的判读。
本题难度:一般