时间:2020-08-01 06:06:43
1、单选题 读“地壳物质循环简略示意图”回答1—2题。

[? ]
[? ]
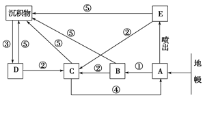
2、单选题 下图为“岩石圈物质循环示意图”,据此回答下列小题。
【小题1】图中B、D代表的岩石分别是
A.侵入型岩浆岩、沉积岩
B.沉积岩、侵入型岩浆岩
C.变质岩、喷出型岩浆岩
D.沉积岩、变质岩
【小题2】图中②表示的是
A.外力作用
B.变质作用
C.冷却凝固
D.重熔再生
3、单选题 地表岩石风化后,由残留在原地基岩上的风华产物组成的壳层,称为风化壳。下图为不同气候一植被带的风化壳厚度变化示意图。完成下列各题。
【小题1】曲线Ⅰ、Ⅱ、Ⅲ分别代表( )
A.气温、降水、蒸发
B.降水、蒸发、气温
C.降水、气温、蒸发
D.气温、蒸发、降水
【小题2】风化壳厚度( )
A.甲大于丁是因为热量丰富、降水量大
B.乙大于丙是因为植被茂盛、蒸发量大
C.刚果盆地总体上大于格陵兰岛
D.伊朗高原总体上大于恒河平原
4、单选题 读图13回答问题。
1.图中区域所示的板块个数为2.以下对图中事物描述正确的是
A.3
B.4
C.5
D.6
E.①②之间地震发生概率高于②④之间
F.板块挤压处⑤的地层年龄较轻
G.板块消亡边界附近②地多石灰矿
H.③附近的海域有岛弧链
5、综合题 阅读材料,回答下列问题。
材料一:科罗拉多大峡谷是一处举世闻名的自然奇观,位于美国西部亚利桑那州西北部的凯巴布高原上,大峡谷全长4 千米,平均宽度16 千米,最大深度1740 米,平均谷深1600 米,总面积2724 平千米。
材料二:科罗拉多国家公园耗资3000 万美元的悬空透明玻璃观景廊桥(如图),建造在大峡谷南缘老鹰崖距谷底1200 米的高空,为U 字形,最远处距岩壁21 米。廊桥宽约3 米,底板为透明玻璃材质。
(1)说明科罗拉多大峡谷形成的主要原因及具有的旅游价值。
_______________________________________________________________________________________________________________________________________________。
(2)该地旅游业发达,每年可吸引50 万游人前来观光。玻璃廊桥对改变旅游者观赏效果有怎样的作用?
_____________________________________________________________________。