时间:2020-03-17 07:03:14
1、单选题 岩浆沿着岩层裂隙或断层侵入所形成的板状岩体称为“岩墙”。读“不同年代相互穿插的岩墙图”回答下题。
图示岩墙按生成先后排序正确的是
[? ]
A.①②③
B.③②①
C.②①③
D.③①②
2、单选题 读图回答,若图中某地质构造是板块构造的分界线,其位置可能是(?)
3、单选题 读某地地质剖面图(③为石灰岩),完成以下问题。
【小题1】对于图中各岩石的分类,说法错误的是( )
A.②属于沉积岩
B.③属于沉积岩
C.④属于变质岩
D.⑤属于岩浆岩
【小题2】图中岩石按照形成的先后顺序排列正确的是( )
A.①②③④⑤
B.③⑤①②④
C.③①⑤②④
D.⑤①②③④
4、综合题 读图“全球板块示意图”,回答问题。(10分)
(1)关于板块运动理论的说法正确的是(?)(2分)
A.地壳可分为六大板块
B.板块消亡边界经常形成海岭和海岸山脉
C.板块“漂浮”在软流层上不断运动
D.板块生长边界经常形成裂谷或海洋
(2)喜马拉雅山位于?(数字)即?板块与?(数字)即?板块的?(生长/消亡)边界上。(5分)
(3)安第斯山脉位于?板块与?板块交界处的?(生长/消亡)边界上。(3分)
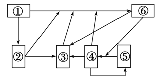
5、单选题 该图是“三大类岩石关系示意图”,读图回答7-8题。
【小题1】图中数码①~⑥所代表的内容依次是
A.①喷出岩②岩浆③侵入岩④变质岩⑤岩浆岩⑥沉积岩