时间:2020-03-17 06:51:38
1、综合题 读下图“北京市农业分布图”和材料一,回答下列问题。
(1)北京所属的气候类型是___________________,其地势特征是____________________________________。
(2)顺义素有“京郊粮仓”的美誉,其发展粮食种植业的优势自然条件有:______________________________________________________________________________________________________________________________。
材料一:2012年2月,昌平区成功举办了第七节世界草莓大会。本市自2001年开始大面积种植草莓,目前温室面积已达2000多亩,引进栽培欧美、日本新品种草莓10余个。作为中国草莓第一镇的昌平区兴寿镇发展草莓专业村12个,建起上千个日光温室,生产冬季草莓,每年11月到翌年6月,都有草莓供应市场。
(3)阅读上面的资料,简要分析近年来昌平区发展草莓种植的优势社会经济条件:________________________________________________________________________________________________________________________________________。
(4)门头沟区因地制宜发展农业的正确选择是
[? ]
A.大规模发展现代旱作谷物农业?
B.以水稻种植业为主
C.积极发展生态农业
D.发展“一村一品,一沟一品”的特色林果业
参考答案:(1)温带季风气候;自西北向东南倾斜
(2)地势平坦(平原地形),雨热同期,土壤肥沃,接近河流。
(3)科技水平提高;政府政策支持;市场需求扩大;交通条件改善和保鲜冷藏技术进步
(4)CD
本题解析:
本题难度:一般
2、单选题 图6表示某地农业生产投入的变化过程,读图回答。
小题1:影响该地区农业地域类型变化的主要因素是
A.自然条件的变化
B.市场需求的变化
C.科学技术的发展
D.国家政策的变化
小题2:图中④阶段比③阶段更有利于该地区生态环境保护,这主要是因为
A.引进了新的蔬菜品种,更适合在当地种植
B.加大科技投入,提高了蔬菜产量
C.减少温室大棚使用,提高了经济效益
D.减少了化肥、农药投入,促进了农副产品综合循环利用
参考答案:小题1:B小题2:D
本题解析:本题考查影响农业生产的区位因素。
小题1:市场是决定农业生产类型和规模的决定性因素。
小题2:根据图示的④阶段和③阶段比较,引进良种而减少了化肥、农药的使用,故利用 环境保护。
本题难度:简单
3、综合题 读图和阅读资料,完成下面问题。(16分)
厄立特里亚气候干旱,降水量小而且不稳定。2007年人均国民收入仅270美元,农业是国民经济的支柱,但粮食不能自给。农业生产技术相对落后,如在平原、山地斜坡主要采用传统地面灌溉和引洪灌溉的方式,很少实施喷灌、滴灌。目前我国和厄立特里亚正在开展农业方面的合作。
(1)概述厄立特里亚的地理位置特征。(3分)
(2)归纳该国的地势特征,并根据地势判断该国从东南部到西北部气温变化趋势(6分)
(3)一般而言A、B、C三条河流发源区大气降水补给量由大到小依次是_________.(1分)
(4)简述厄立特里亚农业发展面临的主要问题以及该国可以采取的措施。(6分)?
参考答案:(16分)
(1)位于热带(1分);东濒红海(1分);非洲东北部(1分)。
(2)中部高,东、西部相对较低(3分);东南地势低气温高,中部地势高气温相对较低,西北部地势下降气温随之升高(3分)。
(3)A、B、C(1分)。?
(4)问题:水资源匮乏;资金短缺;技术力量不足(3分)。
措施:在高原修建水库与水坝,实现雨水的季节调配;培养农业技术人员;推广喷灌与滴灌等节水灌溉技术;加强国际合作,解决资金短缺困难等(3分,任答三点即可)。
本题解析:本题考查世界区域地理和读图分析能力。(1)地理位置主要从经纬度位置、海陆位置和相对位置分析。(2)根据图例分析地势高低分布,利于地势的差异分析气温的变化即可。(3)图示的等降水量线分布可判断三条河流发源地的降水量差异。(4)根据图示判断,该国家主要位于干旱、半干旱地区,故水资源影响农业生产;且该国家经济发展水平低,故从社会经济因素角度分析影响农业生产的不利条件。主要措施可结合问题,从水资源的开源、节流和技术的引进,加强国际合作等方面分析。
本题难度:一般
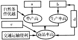
4、单选题 商品谷物农业是一种面向市场的农业地域类型,其基本特征是生产规模大、机械化程度高、商品率高。下图为“商品谷物农业区位条件示意图”。读图回答1~2题。 
1、图中a、b、c、d与下列区位条件对应正确的是①农业科技先进②人均耕地面积大③机械化水平高④市场广阔
[? ]
A、a—①、b—②、c—③、d—④
B、a—②、b—①、c—④、d—③
C、a—①、b—③、c—④、d—②
D、a—②、b—④、c—③、d—①
2、与长江三角洲地区相比,东北地区发展商品谷物农业的优势条件是
[? ]
A、水热条件优越
B、人均耕地面积大
C、市场广阔
D、农业科技先进
参考答案:1、C
2、B
本题解析:
本题难度:一般
5、单选题 农业生产中不合理灌溉可能会导致( )
A.土壤沙化
B.土壤盐碱化
C.土壤pH值减小
D.洪涝灾害
参考答案:B
本题解析:本题考查生态环境问题。不合理灌溉可能引起土壤盐碱化。
本题难度:一般