时间:2020-01-16 06:34:16
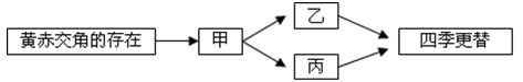
1、单选题 下图是“四季更替成因示意图”,图中甲、乙含义的判断,正确的是( )
A.甲表示正午太阳高度的季节变化
B.甲表示昼夜长短的季节变化
C.乙表示昼夜长短的季节变化
D.乙表示太阳直射点的回归运动
参考答案:C
本题解析:由于黄赤交角的存在,导致了太阳直射点的南北移动,故而引起了昼夜长短和正午太阳高度的季节变化,而形成四季的更替,故选C项。
考点:地球运动。
本题难度:一般
2、单选题 东经121°比东经120°的地方 ( )
A.区时早
B.地方时早
C.一定先看到日出
D.地方时晚
参考答案:B
本题解析:
东经121°比东经120°的地方时早,B对,D错。区时相同,A错。不一定先看到日出,C错。
考点:地方时,区时。
本题难度:一般
3、单选题 2014 年冬奥会在俄罗斯索契圆满结束,这是历史上俄罗斯首次承办冬奥会。索契是俄罗斯著名度假胜地,城区在沿海地带呈狭长分布。图为“大高加索地区地形图”, 据此回答下列小题。
【小题1】在2014 年冬奥会举行期间,索契比阿尔马维尔( )
A.日照时间短
B.气温高,日较差大
C.正午太阳高度角小
D.日出晚,昼较短
【小题2】 索契的河流特征是( )
A.流量小
B.河床比降大
C.流域面积大
D.结冰期长
参考答案:
【小题1】A
【小题2】B
本题解析:
【小题1】索契纬度低于阿尔马维尔,因举办时间在北半球冬季,故索契白昼时间更长,正午太阳高度更大,C、D错 。对比两城市,索契位于沿海低海拔地区,冬季受西风影响多阴雨天气。阿尔马维尔位于高海拔地区,大高加索山东侧,盛行西风的背风坡,冬季降水少,多晴天。受天气及地形影响,两地相比,索契气温高,气温日较差小,日照时间短。A对,B错。
【小题2】受地形影响,索契位于西风的迎风坡,多地形雨,河流流量较大,A错。因紧邻大高加索山脉,河流落差大,B正确。受地形制约,流域面积较小。C错。当地为地中海气候,冬季无结冰期,D错。
考点:地形对气候、河流的影响
本题难度:一般
4、单选题 位于三个不同地区学校的学生,在国际互联网上合作设计了一个测量“立杆影子长度”的探究学习活动。他们于2013年6月22日,各自在当地正午前后,测量1米高立杆的影子长度,所得数据制成下图。读图完成下列各题.
【小题1】甲、乙、丙三地该日昼长,由长到短的顺序是
A.甲、乙、丙
B.丙、甲、乙()
C.乙、丙、甲
D.乙、甲、丙
【小题2】当乙地测得该日杆影长最短时,丙地所在时区的区时是( )
A.5时
B.7时
C.19时
D.17时
【小题3】甲图所示地,位于我国某省(区),下列对联或诗句中可反映该省(区)地理特征的是( )
A.浩荡滇池波自远,苍茫洱海水何宽
B.西湖天下景,游者无贤愚
C.洞庭西下八百里,淮海南来第一楼
D.一路椰荫鱼艇静,天涯海角好家乡
参考答案:
【小题1】B
【小题2】C
【小题3】A
本题解析:
【小题1】 根据图中信息:6月22日甲乙丙三地影子长短朝向及长短可判断当地纬度。根据影子与太阳的判断:影子最短时为当地正午的太阳高度角,前后关于正午对称。根据甲地正午时影子为零,由此可判断正午太阳高度为90°,该地为23.5°N。乙地正午时影长与杆长相等(都为1米),可判断此时正午太阳高度为45°,根据正午太阳高度角的公式及影子朝南应在23.5°N以南,可推为21.5°S。丙地由朝向可知纬度大于23.5°N。根据6月22日太阳直射北回归线,可判断丙昼最长,其次为甲,最短为乙。故选B。
【小题2】 根据图中信息:6月22日甲乙丙三地影子长短朝向及长短可判断当地经度。影子最短时并左右对称说明是正午太阳高度,暗示当地地方时为12点,结合北京时间可推断当地的经度。甲地北京时间为13点,当地为12点,因此甲的经度为120°E-15°(13-12)=105°E, 乙的经度为120°E-15°(0-12)=60°W,丙地经度120°E-15°(17-12)=45°E。当乙地测得该日杆影长最短时,即当地为12点,由此可推12-(45+60)/15=19。故选C。
【小题3】根据上题可推导甲地经纬度(23.5°N 105°E),可判断为我国云南。结合选项A项的洱海为云南的地理事物,故选A。而B西湖为浙江省, C为岳阳楼,为湖南省。D天涯海角为海南省,故BCD错。
考点:本题考查地球运动。
本题难度:一般
5、单选题 下图中,甲、乙两点位于晨昏线上,太阳直射点在西半球。读图回答下列各题。
【小题1】此时,丙点的地方时最有可能是
A.3时
B.9时
C.15时
D.21时
【小题2】图8所示的月份最有可能是
参考答案:
【小题1】D
【小题2】C
本题解析:
【小题1】根据图中的经度变化判断甲地位于60°E,直射点的经度和甲地相差90°,所以直射点的经度为30°W或150°E。根据太阳直射点在西半球,所以直射点经线位于30°W,甲地位于昏线上,地方时为18:00,则丙地地方时21:00。所以本题选择D选项。
【小题2】图中越往北白昼时间越长,太阳直射点位于北半球,5月太阳直射点位于北半球。所以本题选择C选项。
本题难度:一般