高考地理题《地壳物质循环及地表形态的塑造》高频试题强化练习(2019年最新版)(五)

时间:2020-01-16 06:15:36

微信搜索关注"91考试网"公众号,领30元,获取事业编教师公务员等考试资料40G

1、单选题  图为某河流河曲处的示意图,读图回答第30题。

下列四幅河床横剖面示意图中,能正确反映沿EF断面的是



2、综合题  阅读下列材料,回答问题。(10分)
材料一:我国东南沿海某区域等高线示意图

材料二:该地多年平均降水量(mm)月分配表

(1)图中A、B两地相对高度为                ,河流剖面图甲、乙、丙由上游到下游依次为             ,M处发育成河谷的原因是                 。(3分)
(2)据材料二的信息,分析该地6、7、8三个月之间降水量差异的主要原因。(4分)
(3)近几十年,丁处0米线向远离大陆方向突出,运用地理环境整体性原理,说明形成这种现象的原因。(3分)



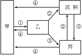
3、单选题  下图为地壳物质循环示意图。读图,完成题。

小题1:图中甲、乙、丙分别代表
A.岩浆岩、岩浆、变质岩
B.岩浆、岩浆岩、变质岩
C.变质岩、岩浆、岩浆岩
D.岩浆、变质岩、岩浆岩
小题2:图中序号③表示的是
A.搬运作用
B.侵入作用
C.变质作用
D.风化作用



4、单选题  当地时间2011年2月22日11时51分(世界标准时间是21日23时51分),下图所在地区发生强烈地震。据此完成小题。                                     

【小题1】推断图中J1和J2的两条经线的经度分别为
A.55°E、60°E
B.135°E、140°E
C.170°E、175°E
D.180°、175°W
【小题2】图中板块边界是
A.印度洋板块和太平洋板块的消亡边界
B.印度洋板块和太平洋板块的生长边界
C.印度洋板块和南极洲板块的消亡边界
D.南极洲板块和太平洋板块的生长边界



5、单选题  确定向斜的最可靠的依据是(      )
A.岩层向上拱起
B.中心部分岩层较新,两翼部分岩层较老
C.在地形上为山峰和山岭
D.中心部分岩层较老,两翼部分岩层较新




首页 上页 4 5 6 下页 尾页 5/10/10
微信搜索关注"91考试网"公众号,领30元,获取公务员事业编教师考试资料40G
【省市县地区导航】【考试题库导航】
 ★ 高考省级导航 ★ 
全国 A安徽 B北京 C重庆 F福建 G广东 广西 甘肃 贵州 H河南 河北 湖南 湖北 黑龙江 海南 J江苏 江西 吉林 L辽宁 N内蒙古 宁夏 Q青海 S山东 山西 陕西 四川 上海 T天津 X新疆 西藏 Y云南 Z浙江
 ★ 高考信息汇总 ★ 
 ★ 高考历年真题 ★ 
 ★ 高考历年真题 ★ 
 ★ 高考题库 ★ 
 ★ 高考题库 ★ 

电脑版  |  手机版  |  返回顶部