时间:2020-01-16 05:40:05
1、单选题 读人类文明进程及社会经济增长主导因素变化示意图,完成1~2题。 
1、图中影响d曲线变化的主导因素是
[? ]
A、土地
B、劳动力
C、资本
D、技术
2、到工业文明阶段,土地资源对社会经济发展的影响突出表现为土地的
[? ]
A、数量
B、质量
C、类型
D、区位
参考答案:1、D
2、D
本题解析:
本题难度:一般
2、单选题 下列区域的划分以单一指标为依据的是
①热量带?②干湿区?③我国三大自然区?④文化区
A.①②
B.②③
C.②④
D.③④
参考答案:A
本题解析:试题分析:热量带的划分是依据不同区域热量差异划分的,以单一目标为划分依据。干湿区是以不同区域水分状况差异来划分的,以单一目标为划分依据。故①、②项正确。我国三大自然区是根据自然地理要素的地域差异而划分的,划分依据所包括的因素有:地貌、水文、气候、生物、土壤等。可见,我国三大自然区划分并非以单一目标为依据。文化区指具有某种共同文化属性的人群所占据的地区,在政治、社会或经济方面具有独特的统一体功能的空间单位。可见文化区的划分依据包括政治、社会或经济等因素,并非以单一目标为依据。故③、④项错误。由上分析可知。A为正确选项。
考点:区域的划分的依据
点评:该题难度一般,属于基础性题目,主要考查同学们对区域的依据的认知能力。解题关键在于对不同自然区域划分依据和标准的理解。
本题难度:困难
3、单选题 1997年12月,149个国家和地区通过了限制温室气体排放量以抑制全球变暖的《京都议定书》。《京都议定书》于2005年2月16日正式生效。完成下题。1.履行《京都议定书》的一条重要途径是调整能源结构,受此冲击最大的产业是2.由于《京都议定书》规定了减排目标,温室气体排放量具有了价值,并成为一种商品。这种商品形成的市场称为
A.钢铁
B.机电
C.纺织
D.电子
E.煤市场
F.碳市场
G.石油市场
H.天然气市场
参考答案:1. A
2. D
本题解析:1.温室气体主要指二氧化碳,钢铁企业能产生大量的二氧化碳,所以限制温室气体排放量,受此冲击最大的产业是钢铁。
2.温室气体排放量具有了价值,也就是二氧化碳具有了价值。
本题难度:一般
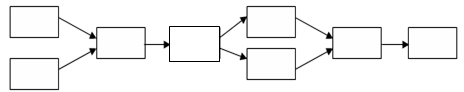
4、综合题 图5为“全球二氧化碳体积分数变化和全球气温变化曲线图”,回答问题:(10分)
(1)全球二氧化碳含量变化趋势是?,全球气温变化趋势是
?。(2分)
(2)分析这两者的因果关系是?。(1分)
(3)设计一个联系框图以表示下列选项之间的相互关系(框内填写字母代号)。(7分)
A.全球海平面上升
B.海洋表面出现膨胀
C.极地冰雪融化
D.沿海低地、良田、城市被淹没
E、大气中温室气体浓度增高
F、大量燃烧矿物化石燃料?
G、全球平均气温上升?
H、大量森林植被遭到破坏
参考答案:(1)逐年上升?
(2)波动上升
(3)全球二氧化碳体积分数变大导致全球气温上升?
(4) FH,? E,? G,? BC,? A,? D(全对7分,错一空扣1分)
本题解析:本题考查全球气候变化。
(1)左图表示全球二氧化碳含量不断上升;右图反映全球气温呈现波动上升。
(2)由于二氧化碳含量升高,温室效益加强,从而导致全球气温上升。(3)注意各因素之
间的因果关系;主要考查全球气温上升的原因,影响和危害。
本题难度:一般
5、单选题 下列区域中,界线最明确的是
A.亚欧大陆
B.长江三角洲
C.温带森林地区
D.亚热带季风区
参考答案:A
本题解析:本题考查区域基本特征。区域总有一定的界线,但其界线有明确的,也有模糊的,行政区具有最明确的边界。故选A项。
本题难度:一般