时间:2020-01-08 15:15:01
1、单选题 2010年8月,“中国丹霞”被正式列入《世界遗产名录》。甲图为广东丹霞山地貌景观,图示山体主要是由红色砂砾岩构成。乙图为地质循环示意图。读图回答题。

小题1:甲图中的岩石类型及其形成的地质作用对应于乙图中的
A.b①
B.a②
C.e③
D.d④
小题2:有关甲图中岩石类型的相关叙述正确的是
①形成于比较湿热的气候环境?②受高温高压变质形成
③受流水的强烈侵蚀切割?④经历了地壳的升降运动
A.①②③
B.②③④
C.①②④
D.①③④
参考答案:
小题1:C
小题2:D
本题解析:
小题1:有甲图可知:甲图中的岩石形态具有层理结构,因此岩石类型为沉积岩,其形成作用力为外力作用。由乙图可知,图中沉积物通过③作用指向e,则可判断e为沉积岩,③代表外力作用(固结成岩作用),故本小题选C。又由图可知,A喷出形成E,则可判断A为岩浆,E为喷出型岩浆岩,B没有喷出地表,来源于岩浆,则B为侵入型岩浆岩。
小题2:丹霞地貌是上世纪三十年代以丹霞山为代表而命名的一类地貌类型。形成丹霞地貌的岩层是一种在内陆盆地沉积的红色屑岩,后来地壳抬升,岩石被流水切割侵蚀,山坡以崩塌过程为主而后退,保留下来的岩层就构成了红色山块。丹霞地貌最突出的物点是“赤壁丹崖”广泛发育,形成了顶平、身陡、麓缓的方山、石墙、石峰、石柱等奇险的地貌形态,它主要分布在中国、美国西部、中欧和澳大利亚等地,以我国分布最广,其中又以丹霞山面积最大,发育最典型、类型最齐全、形态最丰富、风景最优美。
点评:本题难度较小,解答本题的关键是找突破口,如图中的“沉积物”、“喷出”等关键字眼。另外学生还需明确:地球内部的岩浆因地壳运动有的停留在地下缓慢冷却凝固而形成侵入岩,有的喷出地表迅速冷却凝固形成喷出岩,岩浆岩受到流水、风、冰川、海浪的侵蚀、搬运、堆积作用,形成沉积物,沉积物经过地壳凹陷,固结成岩,成为沉积岩。同时,这些已生成的岩石,在一定温度和压力下发生变质形成变质岩。在喷出岩的形成过程中,地面有时会发生火山活动和地震,它们都是地球内能的释放形式。内力作用使地表变得高低起伏,外力作用使地表趋于平坦,一个地方地貌形态的形成是各种内外力作用共同作用的结果。
本题难度:一般
2、综合题 (10分)读我国东部某区域图,回答下列问题。
(1)说出该地的气候类型及特征.(2分)
(2)分别指出影响图中①②两地地表形态的主要外力作用,并分析这些外力作用在何季节强度最大.(4分)
(3)简述甲山地的形成过程.(2分)
(4)由于人口增长,图中乙处森林正在被日益扩大的耕地所取代.简述这一现象的发生对当地气候或河流水文特征产生的影响(任选其一回答).(2分)
参考答案:
(1)温带季风气候 夏季高温多雨,冬季寒冷干燥(2分)
(2)①流水侵蚀;②流水沉积。 夏(秋)季节,该地区进入雨季,河流流量大,流水侵蚀、沉积作用明显。(4分)
(3)(地质历史时期)地壳运动使岩层受挤压向下弯曲形成褶皱(向斜);(向斜)槽部岩性坚硬不易被侵蚀,形成山岭。(2分)
(4)对气候的影响:降水减少;气温日、年较差增大。或对河流的影响:含沙量增大;径流量季节变化增大。(2分)
本题解析:
根据材料和图中植被类型可以判断气候类型,流水在河流的不同位置作用是不同的,上游主要是侵蚀作用,下游主要是沉积作用,作用大小与河流的水量有关,地质构造中褶皱的形成的不同地形的成因,地形倒置现象的原因,图中山地就是倒置地形。植被的破坏直接影响到当地的气候(气温与降水的变化)与河流的水文状况(包括河流含沙量、径流量的变化等)。
考点:气候类型的分布,形成地形的内外力作用,地质构造及其成因,自然环境整体性的表现。
本题难度:一般
3、单选题 河漫滩平原常常形成于:( )
A.河流上游山前地带
B.河流入海地带
C.河流下游地带
D.河源地带
参考答案:C
本题解析:河漫滩平原是由河流侧向侵蚀和堆积作用形成。即由河流的横向迁移和洪水漫堤的沉积作用形成。在中下游地区,河流在凸岸堆积,形成水下堆积体。堆积体的面积不断扩大,在枯水季节露出水面,形成河漫滩。洪水季节,河漫滩被洪水淹没,继续接受堆积,故C正确。
考点:地表形态的形成。
本题难度:一般
4、单选题 流水地貌是由流水塑造而形成的地表形态。
小题1:在上图所示河流的②处,流水作用主要表现为
A.搬运
B.堆积
C.侵蚀
D.风化
小题2:如果在图示的①、②、③、④四处进行码头选址,比较合适的是
A.①②
B.③④
C.①④
D.②③
参考答案:
小题1:B
小题2:C
本题解析:
小题1:读图可知,②处位于河流的凸岸,根据河流在凸岸堆积,在凹岸侵蚀的原理,所以在上图所示河流的②处,流水作用主要表现为堆积。
小题2:码头选址要求水深,因布局在流水侵蚀为主的河流凹岸,图中①④为凹岸,②③为凸岸,所以选C。
【考点定位】该题组考查河流的侵蚀作用。
本题难度:一般
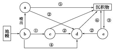
5、单选题 下图为黄山“天狗望月”景观,“天狗”是由花岗岩组成,独居峰顶,翘首望月。读图回答小题。
【小题1】“天狗”的岩石类型及形成的地质作用对应于下图中的 ( )。
A.c、①
B.a、②
C.e、③
D.d、④
【小题2】将棱角分明的花岗岩,塑造成栩栩如生的“天狗”的主要地质作用是( )。
A.流水侵蚀
B.风力侵蚀
C.冰川侵蚀
D.风化作用
参考答案:
【小题1】A
【小题2】D
本题解析:
【小题1】根据地壳物质的循环过程,运用尝试填图法确定a为喷出岩,b为岩浆,c为侵入岩,d为变质岩,e为沉积岩。使用尝试填图法时,要先根据图中已知信息确定b为岩浆,e为沉积岩,再根据地壳物质的循环过程判定其他内容。“天狗”为花岗岩,是岩浆岩中的侵入岩,对应图中c,相应的地质作用为①,即侵入作用。A选项正确。
【小题2】将棱角分明的花岗岩,塑造成栩栩如生的“天狗”的主要地质作用为风化作用。D选项正确。
本题难度:一般