时间:2020-01-08 13:30:12
1、单选题 读图(1)和图(2),完成下列问题。

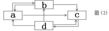
小题1:图(2)中字母分别代表岩浆和三大类岩石,箭头表示地质作用的过程。图(1)中丁地的岩石类型对应图(2)中的
A.a或b
B.b或c
C.c或d
D.d或a
小题2:关于图(1)中四地所在区域水循环的叙述,正确的是
A.甲地区附近湖泊的蒸发是当地降水的主要水汽来源
B.乙地区北坡降水虽少,但主要参与的是海陆间循环
C.乙、丙是四地区中水循环最活跃的地区
D.甲、丁两地的水汽仅来自于太平洋
参考答案:
小题1:A?
小题2:B
本题解析:
小题1:据图可知:图(1)中丁地的景观为桂林山水,岩石类型为沉积岩(石灰岩)。根据地壳物质的循环过程,可以判断出:图(2)中字母分别代表a沉积岩,b变质岩、c岩浆、d 岩浆岩或者b沉积岩、c岩浆、d岩浆岩、a变质岩。所以A正确。
小题2:甲地为长江三峡,当地降水的水汽来源主要为太平洋,A错;乙地北坡有许多大江大河流入印度洋,所以参与的是海陆间循环,B正确;水循环最活跃的地区应该为甲丁两地,C错;甲丁两地的水汽来自于太平洋和印度洋,所以D错。
本题难度:一般
2、综合题 下面左图为某地地形剖面示意图,右图为该地沿海某流域地下水等水位线分布示意图。读图回答下列问题。(18分)
(1)判断图示水循环的类型,结合图示说出水循环的意义。(6分)
(2)结合图示水循环环节,分析说明C海区的渔业资源丰富的原因。(4分)
(3)分析右图等水位线特征说明河流与地下水的补给关系。(4分)
(4)与10年前相比,右图中的地下水水位发生了什么变化?分析导致地下水发生这种变化的原因。(4分)
参考答案:
(1)海陆间循环(2分) 水循环的意义: ①维护全球水量平衡;②缓解不同纬度热量收支不平衡的矛盾;③海陆间联系的主要纽带,使陆地淡水资源不断更新;④不断塑造地表形态。(4分,每点1分)
(2)图中水循环地表径流环节影响该海域渔业资源(2分)入海河流带来的营养盐类,使浮游生物大量繁殖,为鱼类提供了丰富的饵料,渔业资源丰富。(2分)
(3)河水补给地下水(2分)从潜水等水位线分布特征可以看出,潜水位自河床向两岸逐渐降低河水位高于潜水位,所以河水补给潜水。(2分)
(4)地下水水位变化:升高;(2分)原因:气候逐步趋向湿润;植被覆盖率提高。(2分)
本题解析:
(1)由图可知;图中的水循环是在海洋与陆地之间进行的,故图中水循环的类型为海陆间大循环。水循环的意义要从维持水量平衡;缓解热量收支不均;促进陆地水体的更新;塑造地表形态来分析。
(2)渔业资源丰富的原因要从沿海大陆架、洋流、温带海区、入海径流的角度来分析。而题目要求从水循环的环节来进行说明。由图可知使得该海区渔业资源丰富的原因与水循环的地表径流环节有关。入海径流从陆地上带来了丰富的营养盐类,使浮游生物大量繁殖,浮游生物为鱼类提供了丰富的饵料,渔业资源丰富。
(3)图中河流的流向是由东北向西南流。而地下水的流向是垂直于等潜水位线由高值指向低值,故图中地下水向两侧流,故图中应该是河水补给地下水。
(4)图中实线为1-10年的等水位线,而虚线为2-10年后的等潜水位线,由图可知虚线值较实线值要大,故地下水位线升高。而地下水是由地表水转化而来的,由此可能是自然原因:近年来降水增加;也有可能是人为原因:植树造林导致植被覆盖率增加。
考点:水循环的考查。
本题难度:一般
3、单选题 衡量一个地区或国家水资源丰欠的主要指标是
A.多年平均降水量
B.多年平均蒸发量
C.比较容易利用的淡水总量
D.多年平均径流总量
参考答案:D
本题解析:目前,人类能开发利用的水资源主要是河流水和浅层地下水,故地表多年平均径流量是衡量地区水资源丰欠程度的主要指标。
点评:本题难度低,知识性试题,学生只要能结合人类对水资源的利用从而理解水资源的衡量标准即可。对于此类试题,学生应注意对知识性试题也需要从理解的角度把握。
本题难度:简单
4、单选题 2011年11月1日,中国南极考察队将启程前往长城站及中山站执行常规考察任务。读南极地区的自然物质运动示意图,回答1-2题。
1.下列关于图中地区水循环的叙述,正确的是
[? ]
A.①为大气降水,⑦为地下径流
B.③为蒸发,⑤为降雪
C.④为植物蒸腾,⑥为地表径流
D.图中海陆间循环表现为逆时针方向
2.南极地区最适宜开发利用的能源是
[? ]
A.地热能
B.风能
C.生物能
D.太阳能
参考答案:1、B
2、B
本题解析:
本题难度:一般
5、单选题 2013年中秋节期间,许多游客到浙江观看钱塘江大潮(是指大量海潮涌入钱塘江口形成的汹涌浪涛)。读钱塘江河口位置图,回答问题。宋代文人苏轼云:“八月十八潮,壮观天下无”。某一游客欲观赏气势磅礴的钱塘江大潮,最佳地点应在( )
A.甲
B.乙
C.丙
D.丁
参考答案:B
本题解析:
由于乙地位于喇叭形状,达到"喇叭"尖端的时候只能往高处涨潮,因此这里成为观潮最适合的地点。
考点:旅游资源的类型与分布。
本题难度:一般