时间:2020-01-08 13:19:22
1、单选题 下图为东南亚某半岛气温(虚线,单位:℃)、降水(实线,单位:毫米)分布图,读图回答以下问题。
【小题1】据图判断甲、乙两地( )
A.1月气温差异大
B.甲地降水量季节变化较大
C.7月气温差异大
D.乙地降水量年际变化较大
【小题2】与同纬度半岛东西两岸相比,丙地气温特点及其影响的主导因素分别是:( )
A.气温低,海陆因素
B.气温低,地形因素
C.气温高,海陆因素
D.气温高,地形因素
2、单选题 下图为部分大气环流示意图,读图完成下列各题。
【小题1】P地对应的气压带是( )
A.副热带高气压带
B.副极地低气压带
C.赤道低气压带
D.极地高气压带
【小题2】当安徽省白昼时间最短时,下图所示气压带、风带分布正确的是( )
A.a
B.b
C.c
D.d
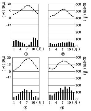
3、综合题 读某气候类型的分布地区图,分析回答下列各题。(6分)
(1)该气候类型是?气候。
(2)试从地理位置、大气环流等因素分析该气候形成的原因。
(3)下图中的四幅气候资料图中,与乙地的气候特征相符的是图______。这表明乙地的气候特征与甲、丙相比有细微的差别,体现在?。
4、单选题 下图中,横线是20 °纬线,①②③④表示某海区洋流分布模式,据此回答1-3 题。
1.A?、C?、E?处的气候类型都是
[?]
A.热带雨林气候?
B.热带季风气候?
C.温带季风气候?
D.地中海气候
2.①②③④相邻海域中有世界著名渔场分布的是?
[?]
A.①?
B.②?
C.③?
D.④
3.厄尔尼诺现象发生时,因降水减少气候变干,导致农业减产的区域濒临的海域是
[?]
A.①?
B.②?
C.③?
D.④
5、单选题 下列四幅图中,能正确表示台风过境时气压变化状况的是