高考地理试题《水的运动》高频试题强化练习(2019年最新版)(九)

时间:2019-12-22 03:58:33

微信搜索关注"91考试网"公众号,领30元,获取事业编教师公务员等考试资料40G

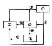
1、单选题  读下面水循环示意图,回答下面几题。

小题1:若图中数码①②③④表示海洋水、大气水、地表水和地下水,则数码①②③④依次表示? (? )
A.海洋水、大气水、地表水、地下水
B.大气水、海洋水、地表水、地下水
C.海洋水、大气水、地下水、地表水
D.大气水、海洋水、地下水、地表水
小题2:若图中数码⑤⑥⑦⑧⑨表示降水、蒸发、地表径流、下渗、地下径流五个环节,则数码⑤⑥⑦⑧依次表示? (? )
A.降水、蒸发、地表径流、下渗
B.蒸发、降水、地表径流、下渗
C.降水、蒸发、下渗、地表径流
D.蒸发、地表径流、降水、下渗
小题3:目前人类活动对水循环中影响最大的环节是? (? )
A.⑤
B.⑥
C.⑦
D.⑨



2、单选题  读下图,回答2题。

小题1:该河段水位季节变化最大的年份是
A.1970年
B.1980年
C.1990年
D.2000年
小题2:2000年较1990年水位变化减小,其原因最有可能是流域内
A.年降水量增大
B.上游围湖造田
C.植被覆盖增加
D.水土流失加剧



3、单选题  读图,回答问题。

小题1:若该图表示海陆间水循环,则(?)
A.①表示水汽输送,③表示蒸发
B.人类活动对①②③④中的①产生的影响最大
C.黄土高原的地表形态与②的作用密切相关
D.①环节的形成必要条件是气流下沉
小题2:若该图表示中低纬度某海区的洋流,则(?)
A.该海域分布在北半球
B.该海域分布在东半球
C.①是暖流,②是寒流
D.①、②是暖流,③、④是寒流



4、综合题  流域是一种特殊类型的区域,它的各组成部分密切联系构成一个整体。长江流域面积大、人口多,合理开发长江流域对全国可持续发展意义重大。读“长江流域图”(如图),完成下列各题。(8分)

(1) 长江流域在我国经济中占有突出地位,分别形成了以上海为中心的下游经济区,以武汉为中心的中游经济区 及以___________为中心的上游经济区。
(2)长江上游水能资源丰富的原因是_________________________________,_________________________________。为开发水能资源,上游地区已建成世界著名的______________________工程。
(3)长江中游最大的威胁是______________________,防治措施有_________________________________,______________________。
(4)_________________________________是长江下游地区的重要任务。



5、多选题  图甲为“某区域简图”,该区域地势较为平坦,图乙为“L河在A、B两处测得的年径流量变化图”读图完成下列小题。

【小题1】该地区(   )
A.地处南半球
B.沿岸暖流流经
C.此时降水较少
D.常年受信风带影响
【小题2】图中L河(   )
A.大致从北向南流
B.大致从南向北流
C.此季节湖泊水补给河流水
D.此季节河流水补给湖泊水




首页 上页 8 9 10 下页 尾页 9/10/10
微信搜索关注"91考试网"公众号,领30元,获取公务员事业编教师考试资料40G
【省市县地区导航】【考试题库导航】
 ★ 高考省级导航 ★ 
全国 A安徽 B北京 C重庆 F福建 G广东 广西 甘肃 贵州 H河南 河北 湖南 湖北 黑龙江 海南 J江苏 江西 吉林 L辽宁 N内蒙古 宁夏 Q青海 S山东 山西 陕西 四川 上海 T天津 X新疆 西藏 Y云南 Z浙江
 ★ 高考信息汇总 ★ 
 ★ 高考历年真题 ★ 
 ★ 高考历年真题 ★ 
 ★ 高考题库 ★ 
 ★ 高考题库 ★ 

电脑版  |  手机版  |  返回顶部