时间:2019-12-22 03:53:57
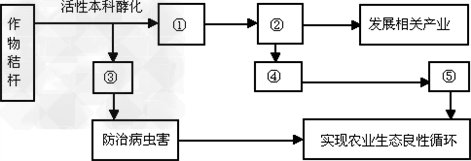
1、单选题 为了实现农业的可持续发展,我国某县对农作物秸杆进行了综合开发。其具体做法是:(1)用机械,将秸杆加工成颗粒状,运用活性酶酵化分解技术生产优质饲料,替代粮食饲料,发展畜牧业;(2)?利用秸杆饲料发展畜牧业,同时发展相关工业,对畜牧业产品进行深加工;(3)减少直接用做饲料,通过动物消化成优质肥料,实现“过腹还田”。结合以下图,完成1-2 题。
1.如果图中①②③④⑤是过腹还田、发展畜牧业 、优质饲料 、提高土壤肥力和消灭害虫卵五项内容,则③表示的是:
[?]
A.过腹还田?
B.提高土壤肥力
C.优质饲料?
D.消灭害虫卵
2.当地农村秸杆作为直接燃料用于生活还高达50%,若秸杆直接燃烧导致的负面生态效应有:
[?]
A.解决了农村燃料不足的问题?
B.加剧了饲料与燃料的矛盾
C.不利于土壤肥力恢复?
D.加剧了环境污染
2、单选题 下列做法属于可持续发展行为的是
A.大规模开垦红壤地区的荒山荒坡、发立体农业
B.大规模使用DDT作为杀虫剂
C.为防止“赤潮”现象的发生,沿海地区采取休渔政策
D.建立人工草场生态经济系统,是草原可持续发展的方向
3、综合题 读“世界人口、资源、环境污染相关曲线示意图”, 完成下列问题。
(1)图中三条曲线表示20世纪末以前人口、资源和环境污染发展的趋势是:
? ①人口曲线呈_______________状态。
? ②资源曲线呈_______________状态。
? ③环境污染曲线呈_______________状态。
?④三条曲线的发展趋势,说明当前世界上人口与环境的主要矛盾是__________________________。
(2)为了保持适度的人口规模,降低对资源和环境的压力, 我们必须走___________________的道路。
4、单选题 协调人地关系的根本措施是:
A.合理利用自然资源
B.保护环境
C.走可持续发展道路
D.控制人口规模
5、单选题 读图,完成下题。
1.沿X Y一线考察自然带谱,先后经过雨林带、 热带草原带和荒漠带,反映了2.如果要考察从M到N的自然带谱,在实地考察中,最理想的线路应选择
A.纬度地带性规律
B.经度地带性规律
C.垂直地带性规律
D.非地带性规律 4.
E.30°E
F.60°E
G.90°W
H.90°E