时间:2019-07-03 07:14:03
1、单选题 下列关于美国农业的叙述,不正确的是
A 粮食总产量居世界首位
B 畜牧业产值居世界首位
C 小麦出口量居世界首位
D 农业生产高度专门化
2、单选题 图a、图b分别是“某两个大洲大陆的地形剖面图”。读图完成题。
小题1:图中表示落基山脉的数字是( )
A.①
B.②
C.③
D.④
小题2:流经山脉③西侧的洋流是( )
A.加利福尼亚寒流
B.北太平洋暖流
C.秘鲁寒流
D.本格拉寒流
3、单选题 西亚和北非分布的主要人种是(?)
A.白色人种
B.黄色人种
C.黑色人种
D.全不是
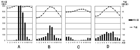
4、综合题 读农业区分布示意图,回答下列问题。
(1)下列四幅气候统计图中,
表示a农业区气候的是?(填字母),其气候特征是?。
表示b农业区气候的是?(填字母),其气候特征是?。(4分)
(2)c、d所在区域的主要地貌类型是?,两个农业区(带)种植的主要粮食作物分别是?、?。(3分)
(3)比较甲、乙两图所示的农业地域类型及其农业生产的区位条件。(6分)
(4)字母f所在区域重点发展水果、蔬菜、花卉等产品,属于典型的“时鲜业”,这些农产品能快速地供给到东北部工业区,主要依赖于?条件的改善。(2分)
(5)说出字母e所在区域农业地域类型及在西欧形成该类农业的主要区位因素。(3分)
5、综合题 读图回答下列问题。
(1)图中B国家的农业类型以________农业为主,主要的粮食作物是________,经济作物是________。(3分)
(2)据报道,1960年以来,图中湖泊的面积、水量、水面高度均在减少,而湖水盐度开始接近海水盐度,原始有机体大量死亡。试说明其原因。(6分)
(3)为减缓D湖生态恶化、水量减少的趋势,应采取的措施有哪些?(6分)