时间:2019-07-03 06:59:34
1、单选题 读“某国人口自然增长率变化曲线图”,完成题。
小题1:该国人口达到顶峰的时期为
A.①
B.②
C.③
D.④
小题2:下列国家中,人口发展情况与图示类型一致的最有可能是
A.埃及
B.中国
C.德国
D.印度
参考答案:
小题1:C
小题2:C
本题解析:
小题1:图示③点之前,人口自然增长率始终为正数,即人口数量增加,而③点之后,人口自然增长率为负数,则人口数量开始减少,故③点为人口数量由增到减的转折,人口数量最大。
小题2:图示国家的人口增长已经出现负增长,判断为发达国家,德国符合。
点评:本题难度一般,学生只要掌握人口自然增长率的变化与人口数量变化之间的关系,注意人口自然增长率下降,但还是正数时,人口数量仍然上升。并能结合世界主要国家的人口增长特征判断即可。
本题难度:简单
2、综合题 (8分)利用地理统计图可以使枯燥的数据变得直观、生动,便于分析和比较各种地理事物“量”的变化和相互关系。读人口统计图,完成下列各题。
(1)甲图中第?阶段和第?阶段人口增长速度均十分缓慢,试分别分析其人 口增长缓慢的原因: ?。
?。
(2)从人口增长特征看,乙图中B国处于甲图中第?阶段,A国的人口出生率较?
(3)分析B国面临的主要人口问题及解决措施。
问题:?
措施:??
参考答案:
(1)一(1分) 四(1分)
第一阶段因为生产力水平低下,人口死亡率很高,所以人口自然增长率很低(1分);
第四阶段因为社会生产力水平高,人们生育观念改变导致出生率很低,所以人口自然增长率很低(1分)。
(2)四(1分) 高(1分)
(3)问题:人口增长缓慢和人口老龄化(1分)
措施:鼓励生育和适当接纳海外移民(1分)
本题解析:本题考查人口增长。(1)直接读图,第一阶段人口出生率高、人口死亡率高、自然增长率低。第四阶段,人口出生率低,人口死亡率低,自然增长率低,主要原因从社会生产力发展角度分析。(2)图示B国少年儿童人口比重低,老年人口比重高,故判断为发达国家,人口出生率低,死亡率低,自然增长率低,与第四阶段特征相符。A国少年儿童人口比重高,反映人口出生率高。(3)B国为现代型,人口增长缓慢,老龄化严重,出现劳动力不足,措施针对问题分析即可。
点评:把两类国家的人口增长特征与人口增长四个阶段结合起来,具有一定的新颖性。
本题难度:简单
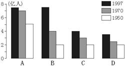
3、综合题 读“1950~1997年部分大洲人口增长图”和“1997年部分大洲人口再生产表”,回答下列问题。(6分)
1997年部分大洲人口再生产表
| 大洲 | 出生率(%) | 死亡率(%) | 自然增长率(%) |
| E | 4.0 | 1.4 | 2.6 |
| F | 1.0 | 1.2 | -0.2 |
| G | 2.5 | 0.7 | 1. 8 |
| H | 1.5 | 0.9 | 0.6 |
参考答案:(6分)
(1)B? E? D? H? A? F? C? G (1分)
(2)发展中国家独立,经济迅速发展,医疗卫生事业进步(1分)
(3)人口增长过快 (1分) 实行计划生育。(1分)
(4)人口增长缓慢,人口老龄化?(1分)鼓励生育或接纳外来移民(1分)
本题解析:略
本题难度:简单
4、单选题 就全球而言,影响人口数量变化的主要原因是?
A.人口的迁移
B.人口的地域分布特点
C.人口的机械增长
D.人口的自然增长
参考答案:D
本题解析:
A、B、C只影响一个国家或地区的人口变化;就全球而言,只有人口的自然增长才是影响人口数量变化的主要原因,D正确。
本题难度:简单
5、综合题 结合材料及图,回答下列问题。(18分)
中新网12月31日电 据美国《侨报》报道,美国人口普查局29日预计,2010年1月1日,美国总人口将达3亿零840万人,比上年增加260万多人,人口增长率为0.9%。美国每8秒钟有一人出生,每12秒钟有一人死亡,每14秒钟净增一个人。很多人关注的不仅是人口的增长,还有美国人口增长对环境的影响。英国《独立报》指出:对支撑地球生命的自然体系来说,美国人口的快速增长显然不是什么好事。

甲?乙
(1)由图甲可以看出美国人口的增长除自然增长外还是由________________所致,这种方式的人口增长的主要原因是?。(4分)
(2)美国人口构成的变化对美国积极的影响是( )
A.交通通达性提高
B.文化多样化
C.劳动力数量减少
D.自由活动空间增大
(3)影响环境人口容量的因素主要有________、科技、地区开放程度、____________等。美国资源丰富,国土辽阔,但媒体称“美国人口的快速增长对支撑地球生命的自然体系来说并非好事”。试用环境人口容量的相关理论对其进行阐释。(8分)
(4)近年来,美国老年人口主要向南部和西南部地区迁移,试分析其主要原因。(4分)
参考答案:
(1)国际人口迁移(或“机械增长”) 美国经济发达,生产力水平高,吸引大量移民迁入
(2)B
(3)资源 ?文化和消费水平
环境人口容量是一个国家或地区最多能容纳的人口数量;美国人均资源消耗量远高于全球平均水平,这种高消费的生活方式,随着人口的增长会给环境带来巨大的压力,也将使其环境人口容量减小。
本题解析:
(1)由美国的人口构成可以判断,美国人口的增长除自然增长外还是由国际人口迁移(或“机械增长”)所致,原因是美国经济发达,生产力水平高,吸引大量移民迁入。
(2)国际人口迁入对美国的积极影响。
(3)影响环境人口容量的因素;美国资源丰富,国土辽阔,但媒体称“美国人口的快速增长对支撑地球生命的自然体系来说并非好事”,原因是环境人口容量是一个国家或地区最多能容纳的人口数量;美国人均资源消耗量远高于全球平均水平,这种高消费的生活方式,随着人口的增长会给环境带来巨大的压力,也将使其环境人口容量减小。
点评:本题难度适中。要求学生熟练掌握美国的人口增长、国际人口迁入对美国的积极影响、影响环境人口容量的因素及“美国人口的快速增长对支撑地球生命的自然体系来说并非好事”的原因
本题难度:一般