时间:2019-06-29 16:20:43
1、单选题 图中等高线表示2007年新被地貌专家认定的一种岩石造型地貌——“岱崮地貌”。读图回答下列各题。
小题1:对该类型地貌叙述正确的是(?)
A.该地貌广泛分布在云贵高原上
B.从山顶到山麓坡度较缓
C.山顶平展,周围有陡崖
D.这是一种新型火山地貌
小题2:此类地貌是由(?)
A.内力作用形成的
B.外力作用形成的
C.内外力共同作用形成的
D.人类活动形成的
小题3:从图中可知(?)
A.该地区最大高差可达240米
B.该地西南角比西北角高
C.崮顶高度可能为800米
D.站在崮顶可通视图中所有地方
参考答案:
小题1:C
小题2:C
小题3:C
本题解析:略
本题难度:一般
2、综合题 读图1和图2,回答下列各题(12分)。
(1)图中甲处的地貌名称为 ,形成该地貌的主要原因是 。
(2)若该处地下有丰富的油气资源,则可能埋藏于图中 (甲、乙)处;
(3)图中②环节的名称是 。
(4)形成乙处沟谷的主要外力作用为 。
(5)图2为图1中某一地区的地貌景观,该景观最有可能位于A、B两地中的 地。
参考答案:(1)山岭 向斜槽部受挤压,岩层紧实,不易遭受侵蚀
(2) 丁 (3)水汽输送 (4)流水侵蚀 (5)A
本题解析:略
本题难度:一般
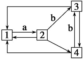
3、单选题 下面为“地壳物质循环简略示意图”,分析完成题。
小题1:1代表的地壳物质是
A.岩浆岩
B.沉积岩
C.变质岩
D.岩浆
小题2:2代表的地壳物质是
A.岩浆岩
B.沉积岩
C.变质岩
D.岩浆
小题3:如果3代表的是沉积岩,则指向3的箭头b代表的是
A.上升冷却凝固
B.外力作用
C.变质作用
D.重熔再生
参考答案:
小题1:D
小题2:A
小题3:B
本题解析:
小题1:根据地壳物质循环图,三个箭头指向的是1,为岩浆。正确答案选D。
小题2:根据地壳物质循环图,一个箭头指向的是2,为岩浆岩。正确答案选A。
小题3:根据地壳物质循环图,二个箭头指向的是沉积岩或变质岩。如果3代表的是沉积岩,则指向3的箭头b代表的是外力作用。正确答案选B。
地壳物质循环:地球内部的岩浆,经过冷却凝固形成岩浆岩,岩浆岩受流水、风、冰川、海浪等的侵蚀、搬运、堆积作用,形成沉积岩。同时,这些已生成的岩石,在一定温度和压力等作用下发生变质,形成变质岩。各类岩石在地壳深处或地壳以下发生重熔再生作用,又成为新的岩浆。从岩浆形成各类岩石,再到新岩浆的过程,就是地壳内部的物质循环。
点评:本题难度适中。要求学生熟练掌握地壳物质循环过程。
本题难度:简单
4、综合题 阅读以下材料,回答问题。(30分)
材料一:下图中B区域自16世纪开始欧洲移民大量涌入。目前B区域是世界大城市带之一,钢铁、造船、汽车、飞机制造等工业发达。?
材料二:中国是世界最大的钢铁生产国,但需大量进口铁矿石。巴西铁矿石资源丰富,是世界重要的铁矿石出口国。2010年4月13日,中国和巴西签订协议,共同出资在巴西里约热内卢附近建设一家年产500万吨钢材的大型钢铁厂,所产钢材主要用于巴西汽车制造、造船、石油开采等行业,部分输往中国。
(1)说出与N河段相比较,M河段流量季节变化的差异,并分析原因。(10分)
(2)有关数据表明A地虽为温带大陆性气候,但其最冷月均温高于0℃(约5~6℃),分析最冷月气温特征的主要成因。(8分)
(3)简析中巴联合在里约热内卢附近建设钢铁厂的有利条件(12分)
参考答案:
(1)差异:M河段流量季节变化较小(2分)。
理由:M河段上游流域:受海洋影响较大,降水季节变化较小;植被覆盖率较高;湿地面积较广;建有大型水库,对河流径流调蓄作用明显(8分,每点2分)
(2)纬度较低(2分),陆地狭小(2分)且距海近,受海洋影响大(2分),冬季气温高;地处盛行西风的背风坡,气流下沉增温(或焚风效应)(2分)。
(3)巴西铁矿石资源丰富;国际和巴西国内市场广阔;位于沿海海运交通便利;巴西东南沿海城市群造船、飞机、汽车、钢铁等工业聚集,工业协作关系较好;劳动力充足;两国关系较好,国家政策支持。(12分,每点2分)
本题解析:
(1)从图中分析,M河段上游比N河段与海洋近,受海洋的影响,降水季节变化较小;因降水水量多,所以M河段的上游的植被覆盖率较高,能够涵养水源,保持水土,所以使M河的流量季节变化较小;因M河上游有湿地和水库,对河流的径流起到调蓄作用,所以使M河段的流量季节变化较小。
(2)联系影响冬季气温的因素去分析,从纬度位置分析,A地的纬度较低,所以气温较高;从海陆位置分析,A地临近海洋且陆地面积狭小,所以冬季海陆热力性质差异小,受海洋的影响大,所以冬季气温较高;从环流形势分析,冬季,A地处在盛行西风的背风坡,气流下沉,所以气温较高。
(3)分析材料可知,中国是世界最大的钢铁生产国,但需从巴西进口铁矿石,在巴西兴建钢铁厂,对于中国来说,可以直接利用巴西铁矿石,避开国际铁矿石企业对原料的垄断,还可以节省运费,降低成本,提高经济效益;钢铁厂的钢材主要供应巴西,可以拓展国际市场;钢铁厂产生的废弃物较多,在巴西建厂,可以减轻国内的污染。对于巴西来说,充分利用巴西的铁矿资源,利于将资源优势转化为产业优势;就近获得钢材,减少对国际市场的依赖,提高钢材的自给率;钢铁厂的建设,可以提高巴西的工业化水平,促进就业。
本题难度:一般
5、单选题 澳大利亚大陆中部有一块巨大的独体岩石——艾尔斯巨石,对这块世界上独一无二的巨石,科学家至今未破解其确凿的来源。读图回答下题。
有学者就该巨岩的形成,用下图示意了其过程。若此图示是成立的,则其形成过程的先后顺序排列正确的是
A.d—b—c—a
B.c—a—d—b
C.c—b—a—d
D.b—c—d—a
参考答案:B
本题解析:
该处最初以沉积为主形成层次水平的沉积岩;其次地壳做水平挤压作用,使平直的岩层产生了弯曲变形;最后在背斜的顶部因受张力作用,岩石疏松,容易被侵蚀,使其顶部缺失,最终形成裸露在地表的大块巨石。选项B正确。
本题难度:简单