时间:2019-06-29 15:46:53
1、单选题 材料一:钓鱼岛和黄岩岛是我国固有的领土。钓鱼岛是台湾山脉的延伸部分;黄岩岛是珊瑚岛,是由海中的珊瑚虫遗骸堆筑的岛屿,它的形成同时与海平面的上升或地壳的下降等有关。
材料二:下图“六大板块示意”及亚洲东南部部分地区图,据此完成题。
小题1:以大洋板块为主的板块是
A.太平洋板块
B.印度洋板块
C.南极洲板块
D.北冰洋板块
小题2:下列地域面积在不断缩小的是?
A.红海
B.东非大裂谷
C.大西洋
D.地中海
小题3:下列关于钓鱼岛和黄岩岛叙述正确的是
①两岛均位于亚欧板块上?②黄岩岛位于印度板块上,钓鱼岛位于亚欧板块上
③两岛均位于板块消亡边界上,是由于太平洋板块和亚欧板块挤压碰撞形成的
④黄岩岛是由内、外力作用形成的,以外力作用为主
A.①②
B.①④
C.①③
D.②④
2、单选题 下图为云贵高原形成与发育过程示意图,依图判断,云贵高原形成发育过程的先后排序是:( )
A.①②③④
B.①④②③
C.②③①④
D.④②③①
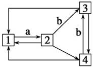
3、单选题 该图为“地壳物质循环简略示意图”,图中4代表沉积岩。分析完成问题。
小题1:1代表的地壳物质是? ( )
A.岩浆岩
B.沉积岩
C.变质岩
D.岩浆
小题2:指向3的箭头b代表的是( )
A.上升冷却凝固
B.外力作用
C.变质作用
D.重熔再生
小题3:下面四图所示景观中,主要由指向4的箭头作用形成的是(?)
4、单选题 内力和外力是塑造地表形态的主要作用力,读图回答1~2题。
1、上图为“我国西北某地地质、地形剖面图”,图中1、2、3、4、5为地层编号,并表示地层年代由老到新。下列叙述不正确的是
[? ]
A、该地区地貌是受外力作用形成的
B、沙丘是风力堆积作用形成的
C、该地区曾经发生过强烈的地壳运动
D、若图中4号地层为含油层,则开采石油的最佳地点是甲
2、下图表示某地貌形态的演变过程,正确的排序是
[? ]
A、a→c→b
B、b→c→a
C、c→a→b
D、a→b→c
5、单选题 读图,回答题。
【小题1】从成因上看,该山地属于 ( )
A.背斜形成的褶皱山
B.向斜形成的褶皱山
C.断层形成的断块山
D.岩浆喷发形成的火山
【小题2】下列山地中,成因与图示相同的是 ( )
A.阿尔卑斯山
B.喜马拉雅山
C.落基山
D.华山