时间:2019-06-29 15:21:30
1、单选题 福建武夷山,属典型的丹霞地貌。武夷山“岩岩有茶,非岩不茶”,岩茶驰名中外。茶王“大红袍”就根植在峡谷最深底部靠北的峭壁岩缝中,四周山峦屏障,岩壑间幽涧流泉,云雾弥漫。读图完成下列各题。
小题1:读上右图,丹霞地貌发育过程中经历的地质作用排序正确的是
A.甲乙丁丙
B.丁甲丙乙
C.甲丙丁乙
D.丁甲乙丙
小题2:武夷茶岩生长的主要自然原因是
①日照充足?②日照较短?③冬暖夏凉?④高温多雨?⑤烂石砾嚷?⑥深厚红壤
A.①③⑥
B.②④⑤
C.②③⑤
D.①④⑥
2、单选题 地质历史上两次最重要的全球性生物大规模灭绝时期分别是
A.古生代中期和中生代末期
B.古生代末期和中生代末期
C.古生代末期和新生代末期
D.古生代末期和中生代中期
3、单选题 自然界中常有“背斜成谷,向斜成山”的现象,下图反映的是该现象发展过程中不同时期的地貌形态。读图回答1—2题。
1、关于图中地貌成因叙述正确的是
[? ]
A.图①中地势的起伏是外力作用的结果
B.图②中由于流水搬运作用形成冲积平原
C.图③中谷地主要是流水侵蚀而成
D.图④中地貌反映了“背斜成谷,向斜成山”的现象
2、图中四种地表形态是随时间的发展而变化的,其地貌形成顺序的正确排序是
[? ]
A.①②③④
B.①④②③
C.③④②①
D.①④③②
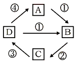
4、单选题 读三类岩石转化图,D、①分别表示
[? ]
A、岩浆岩、变质作用
B、岩浆、上升冷却
C、沉积岩、处力作用
D、变质岩石、重熔再生
5、单选题 山东地下大峡谷位于沂水县城西南,是一座风貌奇特的溶洞王国。景观气势雄伟壮丽,地下暗河漫长曲折,是中国最长的溶洞漂流项目,其漂流道的设计依据洞内地势,将地下河漂流的惊险刺激演绎得淋漓尽致,被誉为“中国地下河漂流第一洞”。据此回答下列小题。
【小题1】地下漂流活动属于( )
A.游览观光
B.度假休闲
C.科考探险
D.宗教朝觐
【小题2】钟乳石、石笋、石花属于( )
A.火山地貌景观
B.花岗岩地貌景观
C.砂岩地貌景观
D.岩溶地貌景观
【小题3】此类景观在我国最典型的分布地区是( )
A.西南地区
B.东北地区
C.西北地区
D.青藏地区