时间:2019-06-29 15:09:41
1、单选题 读某处海底深度与其岩石年龄关系图,回答下列问题
小题1:甲处的岩石类型和地形是?
A.喷出岩海岭
B.侵入岩海沟
C.沉积岩海岭
D.喷出岩海沟
小题2:下列地区所处的板块边界与甲处类似的是?
A.日本群岛
B.西西里岛
C.新两兰南北二岛
D.冰岛
参考答案:
小题1:A
小题2:D
本题解析:
小题1:海底地形中海岭是在生长边界,海沟是在消亡边界。图中甲处岩石年龄最新小,形成时间最晚,应该在生长边界,排除B、D两项;海岭是地幔物质涌出的地方,在海岭顶部冷凝形成新的地壳,故选A。
小题2:四个区域中,冰岛位于板块的张裂地带,属于生长边界,其他三个区域均为板块碰撞挤压地带,属于消亡边界,故选D。
本题难度:一般
2、单选题 读自然环境中某物质循环的局部示意图,完成题。
小题1:若该图是水循环的局部示意图,其中椭圆表示海洋,则
A.箭头①可能表示大气降水
B.箭头①可能表示水汽输送
C.箭头②可能表示地下径流
D.箭头②可能表示地表径流
小题2:若该图是岩石圈物质循环的局部示意图,其中椭圆表示岩浆岩,则
A.箭头①可能表示变质作用
B.箭头①可能表示外力作用
C.箭头②可能表示外力作用
D.箭头②可能表示岩浆活动
参考答案:
小题1:A
小题2:C
本题解析:
小题1:若该图是水循环的局部示意图,其中椭圆表示海洋,箭头①可能表示大气降水,箭头②可能表示蒸发。
小题2:若该图是岩石圈物质循环的局部示意图,其中椭圆表示岩浆岩,箭头①可能表示冷却凝固,箭头②可能表示外力作用。
点评:本题难度适中。要求学生熟练掌握水循环和地壳物质循环的相关知识。
本题难度:一般
3、单选题 下图为甲地水文站平均径流量和降水量图及其所在河流局部水系图,据此完成下列问题。
【小题1】图中甲地河流搬运能力最强的时期是( )
A.6月至8月
B.3月至5月
C.12月至次年2月
D.9月至11月
【小题2】甲地径流峰值显著滞后于降水峰值的主要原因是( )
A.蒸发旺盛
B.河道弯曲
C.地势起伏
D.湿地调储
参考答案:
【小题1】B
【小题2】D
本题解析:
【小题1】根据流水作用的一般特点可知,河流搬运能力最强的时期是河流水量最大的时期;由左图可知该河径流量在3月至5月最大,所以此时河流搬运能力最强,故选项B正确。
【小题2】当蒸发旺盛时,河流径流量会减少,与径流峰值显著滞后无关,故排除选项A;仔细读图可知,该河支流众多,但河道弯曲程度不大,故排除选项B;根据图中经纬度可知,该区域位于巴西高原与拉普拉塔平原附近,地势起伏较大,流水速度较快,故排除选项C;由右图可知该河流经区域多沼泽,降水过后沼泽等湿地调储洪水的作用显著,所以径流峰值显著滞后于降水峰值,故选项D正确。
考点:本题考查地表形态变化的内、外力因素、湿地资源的开发与保护。
本题难度:一般
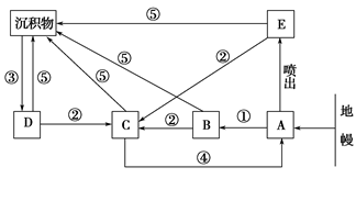
4、单选题 读岩石圈物质循环示意图,回答题。
小题1:图中B、D代表的岩石分别是:
A.侵入型岩浆岩、沉积岩
B.沉积岩、侵入型岩浆岩
C.变质岩、喷出型岩浆岩
D.沉积岩、变质岩
小题2:图中②表示的是:
A.外力作用
B.变质作用
C.上升冷却凝固作用
D.重熔再生作用
小题3:岩石圈的物质循环是自然界重要的物质循环,这个循环过程不能导致的结果是:
A.形成地球上丰富的矿产资源
B.改变地表的形态,塑造出千姿百态的自然景观
C.实现地区之间、圈层之间的物质交换和能量传输,从而改变地表的环境
D.通过大量的输送热能来改变大气运动
参考答案:
小题1:A
小题2:B
小题3:D
本题解析:
小题1:由图可知,图中沉积物通过③作用指向D,则可判断D为沉积岩,③代表外力作用(固结成岩作用);又由图可知,A喷出形成E,则可判断A为岩浆,E为喷出型岩浆岩,B没有喷出地表,来源于岩浆,则B为侵入型岩浆岩。
小题2:组成岩石圈的三大类岩石,D为沉积岩,B为侵入型岩浆岩,E为喷出型岩浆岩,A为岩浆,剩下C只能为变质岩,则指向变质岩的箭头②表示的是变质作用。
小题3:本题考查岩石圈物质循环的意义。岩石圈的物质循环是自然界重要的物质循环,不会改变大气运动,故D不对。其意义主要体现在以下几个方面:
(1)形成了地球上丰富的矿产资源。
(2)改变了地形,塑造出了千姿百态的地貌景观。
(3)实现了地区之间、圈层之间的物质交换和能量传输。
(4)改变了地表的环境。
点评:本题难度较小,解答本题的关键是找突破口,如图中的“沉积物”、“喷出”等关键字眼。另外学生还需明确:地球内部的岩浆因地壳运动有的停留在地下缓慢冷却凝固而形成侵入岩,有的喷出地表迅速冷却凝固形成喷出岩,岩浆岩受到流水、风、冰川、海浪的侵蚀、搬运、堆积作用,形成沉积物,沉积物经过地壳凹陷,固结成岩,成为沉积岩。同时,这些已生成的岩石,在一定温度和压力下发生变质形成变质岩。在喷出岩的形成过程中,地面有时会发生火山活动和地震,它们都是地球内能的释放形式。
本题难度:一般
5、单选题 地质学上,把海水从海岸入侵陆地的过程叫“海侵”, 海水退出陆地的过程叫“海退”。海侵过程沉积物自下而上由碎屑岩变为碳酸盐岩,碎屑岩表现为更粗的颗粒,海退过程反之。据资料及下图回答问题。
【小题1】上示意图所属的过程以及虚线方框中沉积颗粒的变化情况正确的是( )
A.海侵 沉积颗粒变化与甲相符
B.海退 沉积颗粒变化与甲相符
C.海侵 沉积颗粒变化与乙相符
D.海退 沉积颗粒变化与乙相符
【小题2】引起上图海平面变化的原因可能是( )
①地壳上升 ②地壳下降 ③冰期 ④间冰期
A.①③
B.①④
C.②④
D.②③
参考答案:
【小题1】A
【小题2】C
本题解析:
【小题1】根据材料及图示,左图表示海平面不断上升,因此是海侵。海侵过程沉积物自下而上由碎屑岩变为碳酸盐岩,碎屑岩表现为更粗的颗粒,即颗粒物由下而上越来越小,与甲相符。
【小题2】本图显示的是海平面上升,可以是地壳运动形成,间冰期气候变暖,极冰融化也可以导致海平面上升,故选C。
考点:本题组考查全球气候变化。
本题难度:一般