时间:2019-06-29 15:06:15
1、单选题 单位产值能耗是世界平均水平的两倍、机动车油耗比欧洲高25%、每吨标准煤实现的GDP为世界平均水平的30%、能源综合利用率比发达国家低10%等”。以上统计数据未能列出我国目前能源消费中存在的一个严重问题是
[? ]
A.能源利用率低
B.能源浪费严重
C.经济效益低
D.能源短缺严重
2、综合题 阅读下列材料,回答:(共4分)
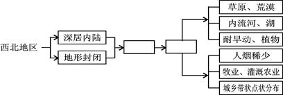
我国西北地区深居内陆,并有山岭阻隔,海洋水汽难以进入,年平均降水量由东部的400毫米左右往西减少到200、50毫米以下。长期的干旱,使这里形成的独特的自然景观。其要素如下图所示:
(1)按相关关系将下列字母填在框图相应的位置上。(4分)
A、干旱? B、降水稀少
3、综合题 (36分)读材料,回答下列问题。
材料一?黄河三角洲及附近地区示意图(图9)。
材料二?黄河三角洲地区面积约5000多平方千米,其经济落后于长三角和珠三角地区。2009年12月,国务院正式批复《黄河三角洲高效生态经济区发展规划》。黄河三角洲将建成能源基地、国家一流的石油化工、盐化工基地和农业、渔业等为主的综合农业生产基地。
(1)描述图中等积温线的走向,并说明其原因。(8分)
(2)近年来,黄河三角洲面积的增长速度有所减缓。根据黄河流域发展状况,说明其原因。(6分)
甲地位于滨海平原,乙地位于山前倾斜平原。
(3)分析比较甲、乙两地土地生产力的差异。(6分)
(4)结合黄河三角洲的自然环境特征,说明确立材料二所述“三个基地”的依据。(10分)
表1:2009年12月26日至31日渤海沿岸某城市气温统计数据表
2009年年底渤海开始出现海冰,并发展成为30年来同期最严重的冰情。
(5)据表1,指出本次海冰形成的重要自然原因,并分析其对经济活动产生的危害。(6分)
4、单选题 湿地作为与森林、海洋并称的全球三大生态系统之一,具有保持水源、净化水质、蓄洪防旱、调节气候和维护生物多样性等重要生态功能,被称为“地球之肾”、天然水库和天然物种库。回答1—3题。
1.湖泊是重要的湿地形式,除了补给河流、调蓄洪水之外还有重要的生态价值。与下表所示情况发生原因无关的是

[? ]
[? ]
[? ]
5、单选题 田纳西河流域治理的核心是(? )
A.防洪
B.航运
C.水资源综合开发
D.发电