时间:2019-06-29 15:04:53
1、单选题 读下图,回答1—3题。
1、甲处的水体类型可能是
[? ]
A.冰川
B.咸水湖泊水
C.冻土底冰
D.沼泽水
2、若在图中①处修建一水库,对生态环境产生的影响是
[? ]
A.图中湖泊渐趋萎缩
B.河口滩涂增速减缓
C.库区周围温差增大
D.河流下游径流季节变化增大
3、考虑图示条件,图中四点最有可能发展成为大城市的是
[? ]
A.①
B.②
C.③
D.④
2、单选题 下图为“世界某区域海洋与陆地自然带分布图”。读图完成题
1.图中洋流的名称2.X地降水主要集中在3.沿X→Y→Z自然景观的变化是
A.加那利寒流
B.西澳大利亚寒流
C.本格拉寒流
D.秘鲁寒流
E.12月至次年2月
F.3~5月
G.6~8月
H.9~11月
I.阔叶林→森林草原→荒漠
G.硬叶林→草原→荒漠
落叶林→草原→荒漠
雨林→稀树草原→荒漠
3、单选题 下列所示的湖泊或湖群,为咸水湖的是(?)
4、单选题 构建模式图,探究地理基本原理、过程、成因及规律是学习地理的方法之一。回答下列各题。
1.若上图是城郊近地面大气环流示意图,则此环流对城市大气环境的作用是2.若上图为北半球洋流分布模式图,且甲、乙、丙都位于北半球,则下列描述正确的是
A.②对丙具有净化、增温作用
B.①对甲具有净化、增湿作用
C.②对乙具有增温、增湿作用
D.①对乙具有减温、减湿作用
E.洋流①为西风漂流
F.洋流②对沿岸有降温减湿作用
G.乙处位于大陆西岸
H.甲乙丙的纬度由高到低
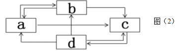
5、单选题 读图(1)和图(2),完成下列问题。

小题1:图(2)中字母分别代表岩浆和三大类岩石,箭头表示地质作用的过程。图(1)中丁地的岩石类型对应图(2)中的
A.a或b
B.b或c
C.c或d
D.d或a
小题2:关于图(1)中四地所在区域水循环的叙述,正确的是
A.甲地区附近湖泊的蒸发是当地降水的主要水汽来源
B.乙地区北坡降水虽少,但主要参与的是海陆间循环
C.乙、丙是四地区中水循环最活跃的地区
D.甲、丁两地的水汽仅来自于太平洋