时间:2019-06-28 15:53:20
1、综合题 阅读相关材料,回答下列问题。(10分)
材料1:目前世界人口在不断增加,如果计划生育措施实施有效,到2050年世界人口有望控制在89亿以内。
材料2:
(1)结合下表分析目前世界人口数量变化的趋势、影响及其应对措施。
(2)对世界人口年增长“贡献”最大的国家是________,该国应采取什么样的人口政策?
(3)从材料2分析,世界上人口数量大、人口增长快的国家主要是哪种类型的国家?目前世界人口第一大国经济的快速发展,对广大的发展中国家发展经济有哪些启示?
参考答案:
(1)
(2)印度人口计划生育。
(3)发展中国家。控制人口数量,提高人口素质,重视发展教育,实行改革开放。
本题解析:
(1)从图中可以看出,世界人口在不断增加,人口过快增长导致资源短缺、环境污染、就业压力大等题,解决措施是控制人口增长和提高人口素质。
(2)从右图中可以看出,世界人口年增长贡献最大的多家是印度,由于该国让人口增长过快,应实行计划生育政策,控制人口增长过快。
(3)发展中国家由于经济不发达,人口素质低,人口增长过快,人口数量大。第一人口大国是中国,我国实行计划生育政策,控制人口数量,提高人口素质,同时注重教育的发展,提高经济发展水平等。
本题难度:简单
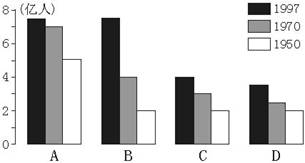
2、综合题 读“1950~1997年部分大洲人口增长图”和“1997年部分大洲人口再生产表”回答(10分)
1997年部分大洲人口再生产表
| 大洲 | 出生率(%) | 死亡率(%) | 自然增长率(%) |
| E | 4.0 | 1.4 | 2.6 |
| F | 1.0 | 1.2 | -0.2 |
| G | 2.5 | 0.7 | 1. 8 |
| H | 1.5 | 0.9 | 0.6 |
参考答案:(1)二战后发展中国家取得政治上的独立,民族经济的发展,医疗卫生事业的进步,人口死亡率下降4分
(2)现代型?鼓励生育, 适当移民? 3分
(3)人口增长过快?控制人口数量(实行计划生育),提高人口素质? 3分
本题解析:(1)根据图表信息可知,E国的人口增长模式是传统型模式,主要在发展中国家,从国家政治经济发展,医疗卫生发展等影响出生率和死亡率。从而影响人口增长快慢。(2)根据图中可知可知,人口出现负增长,人口增长模式属于现代型。人口问题是老龄化严重,劳动力短缺等。所以要鼓励生育, 适当移民。增加人口。(3)根据图中信息可知,B国人口增长快,对社会经济、环境的压力大。所以要控制人口增长。
本题难度:一般
3、综合题 .?阅读材料,回答下列问题。
材料一:中国、日本和韩国人口负担系数百年比较图,当人口负担系数≤50%称为“人口机会窗口”期。(*注:人口负担系数=[(14岁及以下人口数+65岁及以上人口数)/(15~64岁人口数)]×100%)。
材料二:我国2000年人口年龄结构图(左图)和我国人口增长预测图(右图).
(1)我国人口负担最轻、最佳的时期是?年前后;
(2)据图可知,“人口机会窗口”期一般为?年
(3)目前我国人口再生产具有 ? 等特点;我国人口总数达到最高峰的时间大约在 年。?
(4)我国的“人口机会窗口”期对社会经济的影响?
(5)未来20年,我国面临的人口问题主要有哪些?将给我国社会和环境造成哪些影响?
参考答案:(1)2010年?(2)40年左右?(3)低出生率,低死亡率,低自然增长率? 2028(正负2年) (4)劳动力供给充足,社会负担相对较轻
(5)问题:人口总数大;就业人口规模大;人口老龄化?影响:给资源和环境造成巨大压力,加剧资源短缺和生态环境恶化;就业压力大;社会福利负担重
本题解析:由图可知我国人口负担最轻、最佳的时期是2010年前后。“人口机会窗口”期一般为40年左右。目前我国人口再生产类型已进入“三低”的现代型。我国人口总数达到最高峰的时间大约在2028年前后。由人口机会窗口的概念可知对社会的影响主要表现为劳动力供给充足,社会负担相对较轻。我国目前已进入人口老龄化阶段。未来20年人口老龄化将加剧,同时由于人口基数大就业问题依然严峻。
本题难度:一般
4、单选题 下图表示某地区人口再生产类型的转变过程。据此回答题。
小题1:与“人口自然增长率迅速降低,高龄人口比例缓慢增加”对应的期间是
A.Ⅰ期
B.Ⅱ期
C.Ⅲ期
D.Ⅳ期
小题2:在Ⅰ期?
A.人口急剧膨胀
B.人口老龄化
C.人口增长停滞
D.人口平均寿命较低
小题3:与Ⅳ期人口增长模式相同的国家是
A.中国
B.印度
C.泰国
D.日本
参考答案:
小题1:C
小题2:D
小题3:D
本题解析:
小题1:人口自然增长率=人口出生率-死亡率。第Ⅲ阶段,人口出生率迅速下降,而同期的死亡率很低,人口自然增长率当然迅速降低。死亡率低,意味着人们的寿命延长,人口老龄化现象逐渐体现,高龄人口比例缓慢地增长。
小题2:第Ⅰ阶段时,人口高出生率、高死亡率,人口增长较缓慢,因为高死亡率,人的平均寿命较低。
小题3:Ⅳ期人口增长模式属于典型的出生率低、死亡率低、自然增长率低的现代增长模式。日本就属于三低的现代增长模式。
点评:本题难度较小,解答的关键是明确人口增长的快慢,归根到底取决于生产力发展水平,由于生产力发展引起的自然、社会和经济的变化,决定了人口出生率和死亡率的变化。 人口增长模式的转变是从死亡率的下降开始的,即从“高—高—低”模式,转变为“高—低—高”模式。
本题难度:一般
5、单选题 “人口红利”指一个国家的劳动年龄人口占总人口比重较大,人口抚养率比较低,为经济发展创造了有利的条件。20世纪80年代,我国开始进入“人口红利”期。
小题1:“人口红利”期容易出现的社会问题有
A.社会储蓄率低,不利于经济增长
B.青壮年劳动力多,就业压力大
C.少年儿童比重高,人口增长过快
D.社会赡养费用高,财政压力大
小题2:预计2015年前后,我国达到“人口红利”高峰,“人口红利”期结束后,我国面临的突出问题是
A.人口老龄化严重
B.人口总量减少
C.就业困难
D.经济衰退
参考答案:
小题1:B
小题2:A
本题解析:
小题1:“人口红利”指一个国家的劳动年龄人口占总人口比重较大,人口抚养率比较低,为经济发展创造了有利的条件。劳动年龄人口多可能带来的问题是青壮年劳动力多,就业压力大。所以本题选择B选项。
小题2:随着人口发展的趋势,人口红利过后,将出现人口老龄化现象严重。所以本题选择A选项。
本题难度:一般