时间:2019-06-28 14:25:57
1、综合题 (15分)下图是东亚地区不同季节某日的天气形势图(单位:百帕)。
(1)判断图甲、图乙所示天气形势出现的季节是 (2分),并说明理由。(4分)
(2)据图甲分析此时我国长江流域的天气特点,试简述其原因。(2分) 如果该流域长时间受A天气系统影响会出现怎样的天气?(4分)
(3)简述图乙中B天气系统的名称及其影响时的天气状况。该天气系统会给我国北方地区带来哪些灾害性天气?(3分)
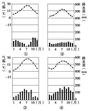
2、综合题 读某气候类型的分布地区图,分析回答下列各题。(6分)
(1)该气候类型是 气候。
(2)试从地理位置、大气环流等因素分析该气候形成的原因。
(3)下图中的四幅气候资料图中,与乙地的气候特征相符的是图______。这表明乙地的气候特征与甲、丙相比有细微的差别,体现在 。
3、单选题 下列有关冷锋的叙述正确的是
A.是暖气团主动向冷气团移动形成的
B.过境时常常出现持续降水天气
C.过境后天气变得温暖潮湿
D.常引起我国北方春季的大风和沙尘暴
4、单选题 下图为某地高空水平方向的气流运动模式图,读图回答问题。
【小题1】图中气流对应近地面天气系统叙述正确的是( )
A.若为北半球,为气旋,多阴雨天气
B.若为北半球,为反气旋,多晴朗天气
C.若为南半球,为反气旋,多晴朗天气
D.若为南半球,为气旋,多晴朗天气
【小题2】若该地位于亚欧大陆,图中气流对应近地面天气系统强烈发展时( )
A.从西向东航行的油轮,过北印度洋时,顺流航行
B.北京的居民看到太阳从东北升起、西北落下
C.海南的蔬菜是向外销售的繁忙季节
D.澳大利亚混合农业区正是忙于剪羊毛的季节
5、单选题 下图是“某区域某时地面天气简图”。读图,完成下列小题。
【小题1】图中丙地的风向是( )
A.东北
B.东南
C.西北
D.西南
【小题2】下列关于图示天气系统叙述正确的是( )
A.A地多连续性降水
B.B降水多出现在锋后
C.丁地风力比丙地更大
D.甲、乙、丙、丁四处温度最高的是丁