时间:2019-06-28 13:57:28
1、单选题 下图为“岩石圈物质循环示意图”。读图回答以下两题。

[? ]
[? ]
参考答案:1、A
2、B
本题解析:
本题难度:一般
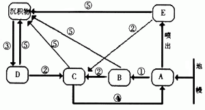
2、单选题 读图 “地壳物质循环示意图”,关于岩石圈地壳物质循环各环节的正确表述是
A.甲——重熔再生
B.乙——变质作用
C.丙——沉积作用
D.丁——冷却凝固
参考答案:B
本题解析:由地壳物质循环示意图可以判断,甲——外力作用;乙——变质作用;丙——冷却凝固;丁——重熔再生。
本题难度:简单
3、单选题 左图为岩石圈物质循环示意图,图中Ⅰ、Ⅱ、Ⅲ分别代表沉积环境、熔融环境和变质环境,箭头线代表不同的地质过程。读“地貌景观图”,图中景观与成因组合正确的是 :
?
A.甲——④
B.乙——②
C.丙——③
D.丁——⑤
参考答案:A
本题解析:岩石圈物质循环示意图中Ⅰ为沉积环境,Ⅱ为熔融环境,Ⅲ为变质环境,图中箭头①表示固结成岩,箭头②表示沉积岩受高温熔融作用,箭头③表示熔岩冷却形成岩浆岩,箭头④表示岩浆岩所受高温和高压,箭头⑤表示变质作用,箭头⑥表示变质岩受到外力作用。所以可判断甲是火山喷发所产生的高温,应对应④;乙为流水侵蚀,应对应⑥;丙为沉积岩经地壳运动形成的褶皱,所以与图中数字无关;丁为流水侵蚀形成的峡谷,应对应⑥。故选A。
本题难度:一般
4、单选题 下图为甲河流域(局部)不同时期地质剖面示意图。读图回答下列各题。
小题1:图中地层形成先后顺序,正确的是
A.①②③④
B.①③②④
C.②①③④
D.③①②④
小题2:与1980年代相比,图示区域2000年代
A.河流含沙量增大
B.坡面径流量增加
C.河流水位季节变化大
D.坡面下渗量增加
参考答案:
小题1:B
小题2:D
本题解析:
小题1:沉积岩层的沉积顺序是下面的先沉积,上面的后沉积。把其它岩层切断的岩层形成的晚,所以图中①沉积层形成最早,然后是③,之后因岩浆侵入,形成了岩层②。④是上覆沉积层,形成最晚。所以B对。A、C、D错。
小题2:读图,与1980年代相比,图示区域2000年代植被覆盖率提高了,水土流失减少,河流泥沙含量减少,A错。下渗增多,径流量减少,B错,D对。森林有涵养水源的功能,水位季节变化小,C错。
本题难度:一般
5、单选题 读地理素描图,回答各题。
【小题1】因流水侵蚀作用形成的地貌是( )
A.甲
B.乙
C.丙
D.丁
【小题2】属于风力侵蚀地貌的是( )
A.甲
B.乙
C.丙
D.丁
【小题3】最适宜人类居住的地区是( )
A.甲
B.乙
C.丙
D.丁
参考答案:
【小题1】A
【小题2】C
【小题3】B
本题解析:流水的侵蚀形成的地貌主要有峡谷、河流、瀑布等,风力侵蚀的地貌主要有风蚀洼地、风蚀蘑菇等,其中最适合人类居住的地区是靠近河流的平原地区,故【小题1】选择A,【小题2】选择C,【小题3】选择B。
考点:地表形态与内外力作用
本题难度:一般