时间:2019-06-28 13:38:23
1、单选题 有关地质构造及其形成的地貌,叙述正确的是 ( )
A.在外力作用下,背斜形成山岭
B.背斜常形成自流盆地
C.在内力作用下,向斜常形成谷地
D.向斜谷地常形成裂谷、陡崖
2、单选题 读40°N附近地形剖面示意图,完成以下各题。
1.丙地区地貌的典型特点是2.图中的向右和向左的风,在各自盛行的时候,风向分别是3.地形单元丁在太行山以东,其北界和南界分别是
A.沟壑纵横,水土流失严重
B.岩层易受溶蚀,有落水洞等
C.峡谷耸立,水流湍急
D.风化痕迹显著,有风蚀城墙等
E.西风和东风
F.北风和东南风
G.偏北风和东南风
H.内陆风和海洋风
I.阴山和淮河
G.阴山和秦岭
燕山和大别山
燕山和淮河
3、综合题 (11分)读图,完成下列问题。
(1)A图表示的是在________作用下形成的________地貌。(2分)
(2)B图是________地貌,往往形成于________地区;
近年由于人类____________________________等不合理的活动,B图中的景观出现不断蔓延、扩大的趋势。治理这种危害应采取的措施为___________________________________。(4分)
(3)根据等高线数值判断,C图中地形是五种基本类型中的________,判断理由是________________________;根据岩层露头的新老关系判断,该图地质构造是________,判断理由是________________;此处地形的形成原因是______________________。(5分)
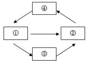
4、单选题 读地壳物质循环图分析,下列叙述正确的是:( )
A.①是沉积岩
B.②是岩浆岩
C.③是变质岩
D.④是岩浆
5、单选题 读某地的地质构造示意图,完成下列小题。
【小题1】与东非大裂谷的成因最符合的是( )
A.a
B.b
C.c
D.d
【小题2】①②③④四处的岩层比较,年龄最轻的岩层是( )
A.①
B.②
C.③
D.④
【小题3】形成黄土高原及其千沟万壑地表的主要原因,组合正确的一组是( )
A.流水堆积,流水侵蚀
B.风力堆积,流水侵蚀
C.风力侵蚀,流水堆积
D.流水侵蚀,植被不良