时间:2019-06-28 13:34:15
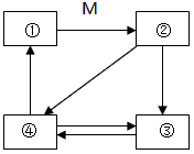
1、单选题 下图表示岩石圈的物质循环图,其中③表示沉积岩,完成1—3题。 
1、图中①表示
[? ]
A、岩浆
B、岩浆岩
C、沉积岩
D、变质岩
2、图中箭头M表示
[? ]
A、冷却凝固
B、重熔再生
C、变质作用
D、外力作用
3、以下属于③类岩石的是
[? ]
A、玄武岩、石英岩
B、花岗岩、页岩
C、大理岩、板岩
D、砂岩、页岩
2、其他 沂蒙72崮成为新地貌类型
? 以沂蒙72崮为代表的“崮”这种地理形态,近日被地质地貌专家们认定为一种新的地貌类型,并命名为“岱崮地貌”。“岱崮地貌”是沂蒙山区特有的一种地貌景观,过去在地貌学上称之为“方山”,人们通常叫“崮”。“崮”的顶部平坦开阔,峰巅周围峭壁如削,峭壁下面坡度由陡到缓,远处观望,像是戴着平顶帽子的山头。“岱崮地貌”成为我国继“丹霞地貌”、“张家界地貌”、“嶂石岩地貌”、“喀斯特地貌”之后的新的岩石地貌类型。如图。
? 据了解,“崮”主要分布在鲁中南山区,较为知名的有上百座,有“沂蒙72崮”之说,形成了美丽的沂蒙“崮”群,数量多,造型美,分布密集,在我国造型地貌中首屈一指,在世界造型地貌上也十分罕见。“崮”的成因主要是古生代寒武纪石灰岩经受了强烈的地壳切割和抬升运动,地壳切割和抬升运动区经过侵蚀、溶蚀、重力崩塌和风化等多重动力作用,形成了现在外表独特的形态。
? “岱崮地貌”蕴藏有丰富的旅游资源,具有观光、休闲、度假和科学研究等多种功能。“岱崮地貌”是经亿万年地质演化而形成的地质构造和岩石,属于一种不可再生的资源。
探究1:“崮”的形成原因是什么?
___________________________________________________________________________________________
___________________________________________________________________________________________
探究2:形成“崮”的地质作用有哪些?
___________________________________________________________________________________________
___________________________________________________________________________________________
3、综合题 下图为世界某区域及甲地地貌示意图,读图完成下列问题。(7分)
(1)描述该区域东部的地形特征。(2分)
答:___________________________________________________________________________
(2)说出甲处地貌的名称及其成因。(2分)
答:___________________________________________________________________________
(3)评价该区域瓜果生产的社会经济条件。(3分)
答:___________________________________________________________________________
4、单选题 读世界某地区等高线地形图,图中西部峡湾形成的主要地质作用是( )
A.波浪侵蚀作用
B.冰川侵蚀作用
C.流水侵蚀作用
D.断裂下陷作用
5、单选题 2010年4月以来,冰岛南部埃亚菲亚德拉冰川附近火山多次大规模喷发。火山灰在7000~10000米的高空形成了火山灰云团,继而弥漫到欧洲大部分地区,给航空业造成了重大损失。读图1、2完成1~2题。
1.图2为地壳物质循环示意图,代表此次火山活动的地质过程及形成的岩石是
[?]
A.7?a?
B.3?b?
C.2?c?
D.1?d
2.冰岛火山灰弥漫到欧洲大陆,致使欧洲航空业蒙受巨大损失。其主要动力来自
[?]
A.西风?
B.北大西洋暖流?
C.极地东风?
D.东北信风