-->

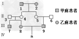
1、选择题  下图遗传系谱图中,Ⅱ-6不携带致病基因,甲种遗传病的致病基因用A或a表示,乙种遗传病的致病基因用B或者b表示,分析正确的是
600)makesmallpic(this,600,1800);\' style=\"WIDTH: 253px; HE ">

高中生物知识点复习《人类遗传病》答题技巧(2017年最新版)

时间:2017-08-09 11:33:19

微信搜索关注"91考试网"公众号,领30元,获取事业编教师公务员等考试资料40G

1、选择题  下图遗传系谱图中,Ⅱ-6不携带致病基因,甲种遗传病的致病基因用A或a表示,乙种遗传病的致病基因用B或者b表示,分析正确的是
600)makesmallpic(this,600,1800);\' style=\"WIDTH: 253px; HEIGHT: 124px; VERTICAL-ALIGN: middle\" src=\"http://www_php168_com/91files/2016061101/0odvpldd2io.png\">
[?]
A.Ⅰ-2的基因型aaXBXB或aaXBXb
B.Ⅱ-5的基因型为BbXAXA的可能性是1/4
C.Ⅳ-n为患两种遗传病女孩的概率为1/32
D.通过遗传咨询可确定Ⅳn是否患有遗传病



2、选择题  在欧洲人群中,每2500人中就有一人患囊性纤维性变性,这是一种常染色体上的隐性遗病。一对健康的夫妇有一个患此病的孩子。以后该妇女又与一健康的男子再婚,问这对再婚夫妇生一个孩子,孩子患病的几率是
[? ]
A.1/25
B.1/5
C.1/100
D.1/625



3、选择题  下列有关生物学实验原理和技术操作的叙述中,正确的是
[? ]
A.研究某遗传病的遗传方式,一定要调查患者家系的情况
B.在探究影响酶活性的因素时,温度、酸碱度、使用试剂的量等都是自变量
C.西瓜汁中含有丰富的葡萄糖和果糖,可用作还原糖鉴定的替代材料
D.换高倍镜后因视野较暗,应调节粗准焦螺旋



4、选择题  下图为某种遗传病的家族系谱图,有关该遗传病的分析错误的是:
600)makesmallpic(this,600,1800);\' style=\"VERTICAL-ALIGN: middle\" border=\"0\" src=\"http://www_php168_com/91files/2016061101/hq0od4ixigw.gif\">
[? ]
A.Ⅲ5与正常男性结婚,生下一个患该病男孩的概率是1/4
B.若Ⅲ2与Ⅲ4结婚,后代患该遗传病的概率将大大增加
C.从优生的角度出发,建议Ⅲ1在怀孕期间进行胎儿的基因诊断
D.Ⅲ1与Ⅲ2为旁系血亲



5、选择题  下列说法正确的是
A.所有生物的遗传物质都是DNA
B.某些生物的遗传物质是蛋白质
C.DNA是主要的遗传物质
D.病毒的遗传物质是DNA 和RNA



答案及详细解析请点下一页查看。


微信搜索关注"91考试网"公众号,领30元,获取公务员事业编教师考试资料40G
【省市县地区导航】【考试题库导航】
 ★ 高考省级导航 ★ 
全国 A安徽 B北京 C重庆 F福建 G广东 广西 甘肃 贵州 H河南 河北 湖南 湖北 黑龙江 海南 J江苏 江西 吉林 L辽宁 N内蒙古 宁夏 Q青海 S山东 山西 陕西 四川 上海 T天津 X新疆 西藏 Y云南 Z浙江
 ★ 高考信息汇总 ★ 
 ★ 高考历年真题 ★ 
 ★ 高考历年真题 ★ 
 ★ 高考题库 ★ 
 ★ 高考题库 ★ 

电脑版  |  手机版  |  返回顶部