时间:2017-08-07 19:41:00
1、填空题 用氨基酸自动分析仪测试几种肽类化合物的氨基酸数目如下:
(1)表中①与②或③与④虽然功能相近,但各具有专一性,它们之间的差异取决于________________。
(2)已知组成催产素的这条多肽链上某氨基酸的侧链基团为—CH2—CO—NH2,推知该化合物至少有氨基____个、羧基______个。
(3)⑤中的氨基酸最多有____种。⑤有4条肽链,574个氨基酸分子,在脱水缩合过程中生成_____分子水。
(4)假若构成这五种化合物的每一种氨基酸的平均相对分子质量均为m,则④的相对分子质量比③的相对分子质量多_______。
2、选择题 肽链在核糖体上合成后,进一步形成蛋白质时往往要进行加工,在加工时常常要切去一部分氨基酸,再构成蛋白质。现有一条含100个氨基酸的肽链,其中含游离的氨基14个,加工时共切去氨基酸16个,则加工后多肽链所含的游离氨基至少还有
[? ]
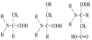
3、选择题 下列依次是阿氨酸、丝氨酸和天冬氨酸的结构式:
由这三个氨基酸缩合而成的肽链中所含的氨基、羧基和肽键的数目依次是
[? ]
A.3、3、2
B.1、2、2
C.1、2、3
D.1、1、2
4、选择题 全世界每年有成百上千人由于吃毒蘑菇而身亡,其中鹅膏草碱就是一种毒菇的毒素,它是一种环状八肽。若20种氨基酸的平均分子量为128,则鹅膏草碱的分子量约为
[? ]
5、选择题 190个氨基酸组成的蛋白质由4条肽链组成,此蛋白质至少含有几个羧基和几个肽键?
[? ]
A.4,186
B.189,189
C.1,186
D.190,190
答案及详细解析请点下一页查看。