时间:2017-02-08 21:56:34
1、选择题 《四千年的农民》一书中记载了中国农民几千年来的耕作方法:积极种植能够固氮的豆科作物以及收集一切可能的有机物质,包括人畜粪便、枯枝落叶、残羹剩饭、河泥、炕土、老墙土以及农产品加工过程中的废弃物等,采用堆肥和沤肥等多种方式,把它们转变为有机肥料,施用到农田中。不属于这种做法优点的是[???? ]
A.改善了土壤结构
B.增加土壤生物的丰富度
C.实现了土壤养分的循环利用
D.使植物能更好地利用有机物中能量
2、选择题 某湖泊生态系统的食物网关系如下图,下列叙述中正确的是
①丙和丁存在着竞争关系 ②丁同化得到的能量一定比乙同化得到的能量多 ③若湖泊中受到DDT污染,则体内DDT浓度最高的生物是甲 ④此食物网中占有三个营养级的生物是丁
[?????]
A
3、选择题 分析以下生态系统的能量流动和物质循环的关系简图,不能得到的结论是
[???? ]
A.能量①②③④的总和一定小于生产者所固定的太阳能总量
B.生物圈的物质是自给自足的,能量是需要不断补充的
C.D中包含的生物可能处于食物链的最高营养级
D.碳在生物群落和无机环
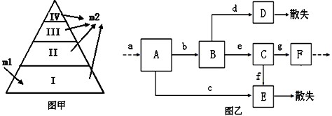
4、连线题 下图甲为某湖泊生态系统的能量金字塔简图,其中Ⅰ、Ⅱ、Ⅲ、Ⅳ分别代表不同的营养级,m1、m2代表不同的能量形式。图乙表示能量流经该生态系统某一营养级的变化示意图,其中a~g表示能量值的多少。请据图作答:

5、选择题 下图是某生态系统示意图,当一种生物的全部同化量来自两种生物时,则同化量各占一半,下列叙述不正确的是
[???? ]
A.该生态系统的生物群落包括了图中全部生物的总和
B.图中处于最高营养级的生物是蛇
C.图中由捕食关系而形成的食物链共3条
D.如果螳螂减少,黄
答案及详细解析请点下一页查看。