时间:2020-08-15 05:19:02
1、选择题 如图是细胞内遗传物质的组成示意图。下列相关叙述正确的是 
[? ]
A.图中的f表示DNA和RNA,是细胞内遗传信息的携带者
B.图中的a有五种,即C、H、O、N、P
C.一分子e由一分子脱氧核糖、一分子含氮碱基、一分子磷酸组成
D.核糖体是由蛋白质和f构成的
参考答案:BC
本题解析:
本题难度:一般
2、选择题 脱氧核苷酸与核糖核苷酸一定不同的是?
[? ]
参考答案:A
本题解析:
本题难度:简单
3、选择题 由1分子磷酸、1分子碱基和1分子化合物a构成了化合物b,如下图所示,则叙述正确的是:
[? ]
A.若m为腺嘌呤,则b肯定为腺嘌呤脱氧核苷酸
B.若a为核糖,b则为DNA的基本组成单位
C.若m为尿嘧啶,则DNA中肯定不含b这种化合物
D.若由b构成的核酸能被甲基绿染成绿色,则a为脱氧核糖
参考答案:CD
本题解析:
本题难度:简单
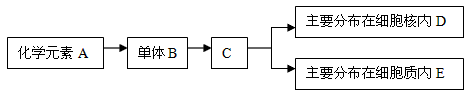
4、连线题 如图表示生物体内的某种物质,请分析回答:
(1)A包括________等元素。
(2)B的名称叫__________,1分子的B是由__________、_________和___________组成的,其连接方式是____________________(用图示表示)。
(3)C是细胞中携带_____________的物质,在生物的____________和蛋白质的生物合成中具有极其重要的作用。
(4)D一般是由___________条_____________构成的。
(5)D和E中都含有的碱基有____________________(中文名称)。
(6)在豌豆的叶肉细胞中,由A、C、T、U4种碱基参与构成的B共有_____种,其中核糖核苷酸有______种。
参考答案:(1)CHONP
(2)核苷酸? 碱基? 五碳糖? 磷酸? ?“略”
(3)遗传信息? 遗传变异
(4)2? 脱氧核苷酸连(核苷酸长链)
(5)A(腺嘌呤)? G(鸟嘌呤)? C(胞嘧啶)
(6)6? 3
本题解析:
本题难度:一般
5、选择题 大豆根尖所含有的核酸中,含有碱基 A、G、C、T的核苷酸种类数共有
[? ]
A.8
B.7
C.5
D.6
参考答案:B
本题解析:
本题难度:简单