时间:2020-08-15 04:46:41
1、选择题 生态系统能够保持动态平衡,主要因为其具有
[? ]
A.相对稳定的物质循环
B.自我调节能力
C.稳定的能源和生产者
D.大量的生产者和消费者
参考答案:B
本题解析:
本题难度:简单
2、连线题 “没有买卖,就没有杀害!”野生东北虎保护受到社会广泛关注。在我国,东北虎的致危因素主要有是非法猎杀、栖息地的丧失与破坏、猎物的缺少等。

(1)图1所示的食物网中共有__________条食物链,其中次级消费者是_________。该食物网再加上_____________________就可以构成一个完整的生态系统。
(2)东北虎位于食物链的顶端,其领域里必须要有足够多的猎物才能维持其生存和繁衍,因为能量流动具有__________特点。
(3)如果环境中的某种有毒物质在生物体内既不能分解,也不能排出体外,则该物质经_______的传递后,便可在不同的生物体内积累。因此,通常生物所在的___________越高,该有毒物质在其体内的积累量越大。
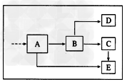
(4)图2是能量流经东北虎种群的示意图,其中A表示东北虎的摄入量,B表示东北虎的同化量。那么,D、E依次表示东北虎的_______,__________。
(5)东北地区保存有大面积森林,改善栖息环境,以提高_________,野生东北虎种群恢复仍有希望。
参考答案:(1)4;东北虎、狐;非生物的物质和能量、分解者
(2)逐级递减
(3)食物 链;营养级
(4)呼吸作用散失的能量;流向分解者的能量
(5)K值(或环境容纳量)
本题解析:
本题难度:一般
3、选择题 所有的生态系统,其成分一般都包括
[? ]
A.生产者、消费者和分解者
B.非生物的物质、能量和消费者
C.生产者和消费者
D.非生物的物质和能量、生产者、消费者和分解者
参考答案:D
本题解析:
本题难度:简单
4、选择题 在“设计制作小生态瓶,观察生态系统稳定性”的设计制作中,以下项目中必需的是:
①生态瓶要放在阳光直射到的地方;②生态瓶要密封;③生态瓶中要放一些小动物;④生态瓶必须是透明的
[? ]
A.①②③
B.②③④
C.①③④
D.①②④
参考答案:B
本题解析:
本题难度:简单
5、选择题 下列关于群落丰富度的叙述,正确的是
[? ]
A.群落的丰富度是指群落的多少
B.群落的丰富度是指群落中物种数目的多少
C.群落中动物的数目越多,丰富度就越大
D.草原生物种类较多,丰富度大
参考答案:B
本题解析:
本题难度:简单