时间:2020-08-09 08:23:33
1、选择题 农民在水稻收获后要将种子晒干,而在播种前又要浸种,这主要是因为
[? ]
A.自由水含量影响新陈代谢
B.结合水是细胞组成部分
C.水是光合作用的重要原料
D.水是呼吸作用的重要原料
2、选择题 关于自由水和结合水叙述不正确的是
[? ]
3、填空题 根据“检测生物组织中的糖类、脂肪和蛋白质”实验,回答下列问题:
(1)鉴定成熟苹果果肉中存在还原糖所用的试剂是__________,该试剂与细胞内还原糖发生作用,形成_____________沉淀,因此,可用该试剂检验糖尿病病人尿液中______________的存在。
(2)一般选用苹果、梨等作为还原糖检测的生物材料,原因是①____________,②_________________。
(3)鉴定花生子叶中存在脂肪的实验中,能将脂肪染成橘黄色的染液是___________,用其染色时,要用体积分数为50%的酒精溶液而不是蒸馏水洗去浮色,这是因为___________________。
(4)鉴定黄豆组织中存在蛋白质时,向组织样液中加入双缩脲试剂的正确方法是________________。其中双缩脲试剂B液的量只有4滴,而不能过量,为什么?________________________________。
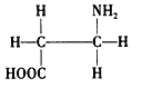
4、选择题 下列四个结构式中,属于构成蛋白质的氨基酸分子的是
[? ]
A.
B.
C.
D.
5、选择题 当生物体新陈代谢旺盛,生长迅速时,生物体内
[? ]
A.结合水与自由水的比值与此无关
B.结合水与自由水的比值会降低
C.结合水与自由水的比值会升高
D.结合水与自由水的比值不变
答案及详细解析请点下一页查看。