高考生物试题《生态系统中能量流动的基本规律及应用》高频试题特训(2019年最新版)(五)

时间:2020-03-24 02:26:56

微信搜索关注"91考试网"公众号,领30元,获取事业编教师公务员等考试资料40G

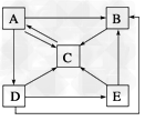
1、选择题  如图是生态系统中碳循环示意图,“→”表示碳的流动方向。下列说法正确的是

[? ]
A.图中A是生产者,B、D、E是消费者,C是分解者?
B.该生态系统的结构包括A、B、C、D、非生物的物质和能量?
C.该生态系统中食物网可表示为:
D.E每增加1kg的体重,至少需要25kg的A?


参考答案:D


本题解析:


本题难度:一般



2、选择题  下列叙述不正确的是

[? ]


A.当狼吃掉一只兔子,就获得了兔子的部分能量
B.当狼捕食兔子并经同化作用合成了自身的有机物时,能量从第一营养级流入第二营养级
C.生产者通过光合作用合成了有机物,能量就从非生物环境流入生物群落
D.生态系统的能量流动是单向的,逐级递减的


参考答案:B


本题解析:


本题难度:一般



3、选择题  如图表示某生态系统中甲、乙两种群在一段时间内的数量变化情况。下列有关叙述不正确的是


[? ]


A.两个种群间能量流动的方向是乙→甲
B.M时甲种群的出生率小于死亡率
C.两个种群数量的变化说明了信息传递是双向的
D.两个种群数量波动幅度减小说明生态系统具有自我调节能力


参考答案:A


本题解析:


本题难度:一般



4、选择题  分解者在生态系统能量流动中的作用是
[? ]
A.将光能转化为化学能
B.减少能量在逐级流动中的损耗
C.促使能量从上一营养级流到下一营养级
D.将有机物中的化学能释放到无机环境中去


参考答案:D


本题解析:


本题难度:简单



5、选择题  下表为某河流生态系统的四个营养级的能量。其中属于次级消费者的是

[? ]
A.a
B.b
C.c
D.d


参考答案:B


本题解析:


本题难度:简单




首页 上页 4 5 6 下页 尾页 5/10/10
微信搜索关注"91考试网"公众号,领30元,获取公务员事业编教师考试资料40G
【省市县地区导航】【考试题库导航】
 ★ 高考省级导航 ★ 
全国 A安徽 B北京 C重庆 F福建 G广东 广西 甘肃 贵州 H河南 河北 湖南 湖北 黑龙江 海南 J江苏 江西 吉林 L辽宁 N内蒙古 宁夏 Q青海 S山东 山西 陕西 四川 上海 T天津 X新疆 西藏 Y云南 Z浙江
 ★ 高考信息汇总 ★ 
 ★ 高考历年真题 ★ 
 ★ 高考历年真题 ★ 
 ★ 高考题库 ★ 
 ★ 高考题库 ★ 

电脑版  |  手机版  |  返回顶部