时间:2020-03-24 00:36:11
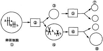
1、连线题 如图表示某动物生殖细胞的形成过程,①~⑧表示细胞。请回答下列问题:


参考答案:(1)DNA的复制? ?同源染色体分开,进入两个子细胞
(2)次级卵母细胞? ?2:1:2
(3)Ab
(4)⑥
本题解析:
本题难度:一般
2、选择题 某生物的基因组成如下图,则它产生配子的种类及它的一个卵原细胞产生卵细胞的种类分别是
[? ]
A.4种和1种
B.4种和2种
C.4种和4种
D.8种和2种
参考答案:A
本题解析:
本题难度:一般
3、连线题 下图表示某种生物卵原细胞中染色体和染色体上的基因。 
(1)图中共有___对同源染色体,分别是_______。图中___________属于非同源染色体。
(2)若1和2,3和4均属于常染色体,该生物的基因型可表示为______。若1和2属于常染色体,3和4属于性染色体,该生物的基因型可表示为_______。
参考答案:(1)2? 1和2、3和4? ?1和3、4,2和3、4
(2)AaBb? AaXBXb
本题解析:
本题难度:一般
4、选择题 真核生物进行有性生殖时,通过减数分裂和随机受精使后代?
[? ]
A.增加发生基因突变的概率
B.继承双亲全部的遗传性状
C.从双亲各获得一半的DNA
D.产生不同于双亲的基因组合
参考答案:D
本题解析:
本题难度:一般
5、选择题 在下图中,能表示人的精细胞在形成过程中染色体数目变化的曲线图分别是

[? ]
参考答案:C
本题解析:
本题难度:简单